М
Молодежь
К
Компьютеры-и-электроника
Д
Дом-и-сад
С
Стиль-и-уход-за-собой
П
Праздники-и-традиции
Т
Транспорт
П
Путешествия
С
Семейная-жизнь
Ф
Философия-и-религия
Б
Без категории
М
Мир-работы
Х
Хобби-и-рукоделие
И
Искусство-и-развлечения
В
Взаимоотношения
З
Здоровье
К
Кулинария-и-гостеприимство
Ф
Финансы-и-бизнес
П
Питомцы-и-животные
О
Образование
О
Образование-и-коммуникации
marinet2017
marinet2017
10.01.2021 12:18 •  Математика

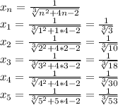
Запишите значение первых пяти членов последовательности сделайте 8-ое задание


Запишите значение первых пяти членов последовательности сделайте 8-ое задание

👇
Ответ:
Ghhhhhiopb
Ghhhhhiopb
10.01.2021

Решение, если я нигде не ошибся в расчётах, лучше перепроверь потом :)

x_n = \frac{1}{\sqrt[3]{n^2+4n-2}}\\x_1 = \frac{1}{\sqrt[3]{1^2+1*4-2}}=\frac{1}{\sqrt[3]{3}}\\x_2 =\frac{1}{\sqrt[3]{2^2+4*2-2}}=\frac{1}{\sqrt[3]{10}}\\x_3 = \frac{1}{\sqrt[3]{3^2+4*3-2}} = \frac{1}{\sqrt[3]{18}}\\x_4 = \frac{1}{\sqrt[3]{4^2+4*4-2}} = \frac{1}{\sqrt[3]{30}}\\x_5 = \frac{1}{\sqrt[3]{5^2+5*4-2}} = \frac{1}{\sqrt[3]{53}}

4,6(46 оценок)
Открыть все ответы
Ответ:
1. Anna und Otto (c) noch sehr klein.
2. Monika (a) 11 Jahre alt.
3. Das ist (c) Mädchen. Das Mädchen heißt Irma.
4. Das ist (a) Frau. Die Frau sitzt und schreibt.
5. Herr Braun lernt (b). Er arbeitet.
6. Heute sind (a) alle da. Wolfgang Hansen fehlt.
7. Spielt (c) Schach?
8. Was (b) du gern?
9. (a) ihr gern?
10. Sabine ist klein, (c) lernt nicht,(c) spielt.
11. Monika und Georg gehen in die Schule. (b) lernen sehr gut.
12. Das Buch auf dem Tisch ist dick. (b) ist sehr interessant.
Блок 2
1.(b) du Schi?
2. Er (c) fern.
3. Er (a) viel und gern.
4. Ich wohne in Russland. (c) Familie ist nicht groß, sondern klein.
5. Ich gehe in die Klasse 5. (b) Klasse ist groß.
6. Gabi Eckardt wohnt in Leipzig und (c) Großeltern wohnen in Dresden.
7. Wir lernen in (b) Schule.
8. Wir spielen in (c) Garten.
9. Die Kreide liegt an (b) Tafel.
10. Alle Schüler aus unserer Klasse (c) fleißig lernen.
11. Mein Bruder (c) Fußball spielen.
12.(b) du mit uns spielen.
Блок 3
1. Das Jahr hat 12 Monate, Januar ist (c) Monat.
2. Donnerstag ist (b) Tag der Woche.
3. Ich habe (c) Hund.
4. Wer hat (a) Heft.
5. Er hilft (c) Vater.
6. Wir helfen (a) Freunden.
7. Mein Kind (b) gern Orangen.
8. Er (c) einen neuen Mantel.
9. Das Auto (c) nicht.
10. Unsere Lehrer (b) gut.
11. Heute (a) Montag.
12. Es (a) Frühling.
4,8(10 оценок)
Ответ:
helppliizzzz
helppliizzzz
10.01.2021
7x=-3|:7
x=-3/7
|x|-5=0
x=5
4,1-|x|=5
x=5-4,1
x=0,9
9|x|-6=0
9x=6|:9
x=2/3
7/4=x/2
7*2=4x
-4x=-14:(-4)
x=3,5
7x=x+25
7x-x=25
6x=25:6
x=4 1/6
3x+16=9-10x
3x+10x=9-16
13x=-7:13
x=-7/13
-34/10(x+102/11)=-68
-34/10x-1734/55=-68
-34/10x=-68+ 31 29/55
-34/10x=-36 26/55:(-34/10)
x=2006/55*10/34=20060/1870=4012/374=2006/187
2m/3-4m/5=3/1|*15
10m-12m=45
-2m=45:(-2)
m=-22,5
3(x-1)+5(x+2)=1-4x
3x-3+5x+10=1-4x
8x+4x=1+3-10
12x=-6:12
x=-0,5
2(3-5p)=4(1-p)-1
6-10p=4-4p-1
-10p+4p=3-6
-6p=-3:(-6)
x=0,5
-4(5-2m)+3(m-4)=6(2-m)-5m
-20+8m+3m-12=12-6m-5m
11m+11m=12+12+20
22m=44:22
x=2
4,7(43 оценок)
Новые ответы от MOGZ: Математика
logo
Вход Регистрация
Что ты хочешь узнать?
Спроси Mozg
Открыть лучший ответ