Вход
Регистрация
Спроси Mozg AI
М
Молодежь
К
Компьютеры-и-электроника
Д
Дом-и-сад
С
Стиль-и-уход-за-собой
П
Праздники-и-традиции
Т
Транспорт
П
Путешествия
С
Семейная-жизнь
Ф
Философия-и-религия
Б
Без категории
М
Мир-работы
Х
Хобби-и-рукоделие
И
Искусство-и-развлечения
В
Взаимоотношения
З
Здоровье
К
Кулинария-и-гостеприимство
Ф
Финансы-и-бизнес
П
Питомцы-и-животные
О
Образование
О
Образование-и-коммуникации
.....больше.....
..меньше..
Nastia2047
13.11.2020 04:51 •
Математика
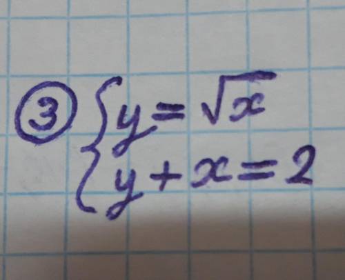
Решите графически систему уравнений:
👇
Увидеть ответ
Ответ:
PROGamerTV11
13.11.2020
Решение:
корень из х+х=2;
х=4, х=1;
у=корень из 4, у= корень из 1;
у=2, у=1;
ответ: (1;1)
4,4
(92 оценок)
Открыть все ответы
Ответ:
avamasha
13.11.2020
Решите уравнение.
a) -6,14x= -15,35 б) -6,832:x=2,24 в)_x_ = _-6,5_
x= -15,35/ -6,14 x= -6,832/2,24 -3,3 -15,6
x=2,5. x= -3,05. Умножаем крест накрест.
-15,6x= -3,3·(-6,5)
-15,6x=21,45
x=21,41/ -15,6
x= -1,375.
4,5
(48 оценок)
Ответ:
Вадім2006
13.11.2020
решения.
▪Возьмем колличество ящиков для яблок Х шт.
▪кол-во ящиков для винограда (64 - х) шт.
▪ящиков с яблоками - 23х кг
▪ящиков с виноградом - 20×(64 - х) кг
1) 23х + 20×(64 - х) = 1365
23х + 1280 - 20х = 1365
3х = 1365 - 1280
3х = 85
х = 85/3 = 28 целых 1/3 (ящика с яблоками)
2) 64 - 28 целых 1/3 = 35 целых 2/3 (ящика с виноградом)
☆ответ:
▪ящиков с яблоками = 28 целых 1/3 шт.
▪ящиков с виноградом = 35 целых 2/3 шт.
решения.
Предположим в ящики положили только яблоки, тогда:
1) 64 × 23 = 1472 (кг) яблок в 64 ящиках
2) 1472 - 1365 = 107 (кг) яблок больше общего колличества фруктов
3) 23 - 20 = 3 (кг) больше в 1 ящике яблок чем винограда
4) 107 ÷ 3 = 35 целых 2/3 (шт.) - ящика с виноградом.
5) 64 - 35 целых 2/3 = 28 целых 1/3 (шт.) - ящиков с яблоками
☆ответ:
▪ящиков с яблоками = 28 целых 1/3 шт.
▪с виноградом = 35 целых 2/3 шт.
4,8
(93 оценок)
Это интересно:
Т
Транспорт
29.01.2021
Как правильно заботиться о мотоцикле и сделать его долговечным...
Ф
Финансы-и-бизнес
22.04.2022
Как открыть предприятие малого бизнеса: полный гайд...
К
Компьютеры-и-электроника
07.06.2022
Как просто и быстро очистить Корзину на iPhone...
С
Стиль-и-уход-за-собой
08.07.2022
Как правильно рисовать кошачий глаз при помощи подводки для глаз?...
О
Образование-и-коммуникации
27.10.2021
Как вести дневник: польза для здоровья и советы по созданию своего...
С
Стиль-и-уход-за-собой
01.12.2020
Как сделать неформальную стрижку: шаг за шагом инструкция для начинающих...
Д
Дом-и-сад
22.01.2023
Как отремонтировать дом и создать уютное жилье?...
Ф
Финансы-и-бизнес
06.09.2022
Как вести бюджет в конвертах...
К
Компьютеры-и-электроника
06.04.2022
Как записать эфир интернет-радио: простые способы и советы...
С
Стиль-и-уход-за-собой
07.09.2022
Как скрыть синяк: простые способы...
Новые ответы от MOGZ: Математика
Samisha
13.10.2020
Решить уравнение) 24x+37x+1283=7566...
Вика2006a
13.10.2020
Надо решить пример (54,4: 1,7)+2,6=...
svperkova80
13.10.2020
3,7+ х=7х+1,3 с уравнением. напишите с решением...
0123220210
13.10.2020
Сколько будет 837 разделить на 17, 65 разделить на 12, 79 разделить на 12, 100 разделить на 26, 100 разделить на 43. с остатком...
Katyakat20050904
13.10.2020
Переставь карты так, чтобы равенство стало верным: 73 - 25 = 58...
gwetyalina1345
13.10.2020
Запишите в виде суммы разрядных слагаемых 384: 1088: 59231: 290075:...
maximt025
13.10.2020
В3 третьих классах 78 учеников в 3 а 26 уч в 3 б на 2 чел меньше. сколько учеников в 3 в...
базарганово
13.10.2020
Вмагазин цветочную рассаду: 8 ящиков петуний и 6 ящиков бархотцев.в каждом ящике было одинаковое колличество растений.петуний на 24 больше,чем бархатцев.сколько всего цветов...
DanilBeast
13.10.2020
Решите уравнение. (6х-1) (6х+1)-4х (9х+2)=-1...
морпехРФ
13.10.2020
200 ! ! : составьте схемы предложений с однородными членами.объясните постановку знаков препинания.и лексический разбор слова заклинать! текст: слова умеют плакать и смеяться,...
MOGZ ответил
Як перекладається з іншої мови слово прелюдія...
61. Подберите имена существительные с такими признаками: а) стоит в начальной...
3-тапсырма Төмендегі неліктен деп басталатын сұрақтарға жауап бере отырып...
Разложите на множители: a²+b²-2ab+5b²-5ab...
Твір роздум на тему Чому потрібно знати історію свого народу...
Учебные задания . • 1. Выполните действие: a) 2793:5,7; 6)1,332:0,036;...
Напишите условия данного примера информатика...
Составить маршрут путешествие по Южным безлесым зонам (воспользуйтесь...
1)С какими трудностями столкнулись при создании новой школы какие меры...
Почему Степан ”счастья в жизни не поимел”?(сказ хозяйка медной горы)...
Полный доступ к MOGZ
Живи умнее Безлимитный доступ к MOGZ
Оформи подписку
О НАС
О нас
Блог
Условия пользования
Авторское право
Политика конфиденциальности
Предпочтения cookie-файлов
ПОМОЩЬ
Зарегистрируйся
Центр помощи
Центр безопасности
App
Вход
Регистрация
Что ты хочешь узнать?
Спроси Mozg
Открыть лучший ответ
×
корень из х+х=2;
х=4, х=1;
у=корень из 4, у= корень из 1;
у=2, у=1;
ответ: (1;1)