М
Молодежь
К
Компьютеры-и-электроника
Д
Дом-и-сад
С
Стиль-и-уход-за-собой
П
Праздники-и-традиции
Т
Транспорт
П
Путешествия
С
Семейная-жизнь
Ф
Философия-и-религия
Б
Без категории
М
Мир-работы
Х
Хобби-и-рукоделие
И
Искусство-и-развлечения
В
Взаимоотношения
З
Здоровье
К
Кулинария-и-гостеприимство
Ф
Финансы-и-бизнес
П
Питомцы-и-животные
О
Образование
О
Образование-и-коммуникации
romashka301
romashka301
30.07.2022 17:29 •  Математика

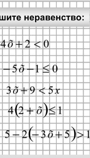
Решите неравенство пожайлуйста ​


Решите неравенство пожайлуйста ​

👇
Открыть все ответы
Ответ:
Макс00796
Макс00796
30.07.2022

Пошаговое объяснение:

ОТВЕТЫ

van gogh.

Мастер (2298)

0/0

Пусть х - яблоки, у - груши

х кг + у кг = 275 тг

4у кг - 3х кг = 50 тг

Выражаем х в первом уравнении.

х кг = 275 тг - у кг

4у кг - 3х кг = 50 тг

Подставляем х из первого уравнения во второе.

4у кг - 3*(275 тг - у кг) = 50 тг

4у кг - 825 тг + 3у кг = 50 тг

7у кг = 875 тг

у кг = 125 тг

Подставим получившийся у в первое уравнение.

х кг + у кг = 275 тг

х кг + 125 тг = 275 тг

х кг = 150 тг

ответ: 1 кг яблок стоит 150 тг, а 1 кг груш - 125 тг

Источник: Всё подробно, как я люблю :)

4,8(71 оценок)
Ответ:
Nurbibi12
Nurbibi12
30.07.2022
У каждого народа есть своя культура и традиция. Я считаю, что культура определяет нашу индивидуальность. Культура несет в себе образ человека являет. Культура - зеркало души, которое показавают нашу личность.Культура слпачивает людей, интрегует, восоединяет!Культура, концентрируя лучший социальный опыт множества поколений людей, приобретает накапливать богатейшие знания о мире и тем самым создавать благоприятные возможности для его познания и освоения.Культура - является живым процессом, живой судьбой народа,она меняется и изменяется .Культура играет самую важную и нужную роль в жизни человека, благодаря ей он познает себя и свой народ!
4,5(98 оценок)
Это интересно:
Новые ответы от MOGZ: Математика
logo
Вход Регистрация
Что ты хочешь узнать?
Спроси Mozg
Открыть лучший ответ