М
Молодежь
К
Компьютеры-и-электроника
Д
Дом-и-сад
С
Стиль-и-уход-за-собой
П
Праздники-и-традиции
Т
Транспорт
П
Путешествия
С
Семейная-жизнь
Ф
Философия-и-религия
Б
Без категории
М
Мир-работы
Х
Хобби-и-рукоделие
И
Искусство-и-развлечения
В
Взаимоотношения
З
Здоровье
К
Кулинария-и-гостеприимство
Ф
Финансы-и-бизнес
П
Питомцы-и-животные
О
Образование
О
Образование-и-коммуникации
Angel168Demon
Angel168Demon
19.01.2020 02:32 •  Математика

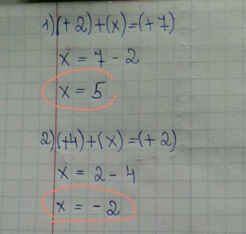
(+2)+(х) = (+7): (+4) + (х) = (+2)
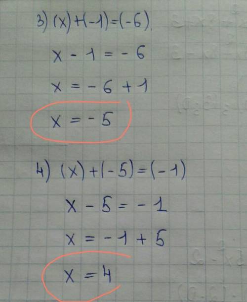
(х)+(-1) = (-6):
(х) + (-5) = (-1);
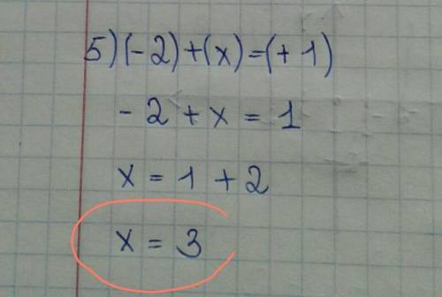
(-2) +(х) = (+1)
(х)+(+5)=0.
Чему ровно х

👇
Ответ:
ZlOdEyKaTaMaRa
ZlOdEyKaTaMaRa
19.01.2020

1)5

2)-2

3)-5

4)4

5)3

6)-5

пошаговое действие на фото (4 фотки)

Пошаговое объяснение:

надеюсь )


(+2)+(х) = (+7): (+4) + (х) = (+2)(х)+(-1) = (-6):(х) + (-5) = (-1);(-2) +(х) = (+1)(х)+(+5)=0.Чему
(+2)+(х) = (+7): (+4) + (х) = (+2)(х)+(-1) = (-6):(х) + (-5) = (-1);(-2) +(х) = (+1)(х)+(+5)=0.Чему
(+2)+(х) = (+7): (+4) + (х) = (+2)(х)+(-1) = (-6):(х) + (-5) = (-1);(-2) +(х) = (+1)(х)+(+5)=0.Чему
(+2)+(х) = (+7): (+4) + (х) = (+2)(х)+(-1) = (-6):(х) + (-5) = (-1);(-2) +(х) = (+1)(х)+(+5)=0.Чему
4,4(89 оценок)
Открыть все ответы
Ответ:
Крайз
Крайз
19.01.2020
Пусть х-производительность Олжаса, у-производительность Димы, z-производительность Антона. Работу примем за 1. Составляем систему уравнений, исходя из условий совместной работы ребят:(х+у)*10=1(у+z)*15=1(x+z)*18=1 10x+10y=1 I*315y+15z=1 I*218x+18z=1 30x+30y=3 вычитаем из первого ур-я второе30y+30z=218x+18z=1  30x-30z=1 I*3     18x+18z=1 I*5  90x-90z=390x+90z=5  вычитаем из второго уравнения первое 90z-(-90z)=2180z=2z=1/90 1) 18х+18*1/90=1 отсюда х=2/452) 15у+15*1/90=1 отсюда у=1/18 Т.к. работу мы приняли за 1, то Олжас нарубит дрова за1: 2/45=45:2=22,5 (дней), Дима нарубит дрова за 1:1/18=18 (дней), Антон нарубит дрова за 1:1/90=90 (дней)ответ:Олжас за 22,5 дней, Дима за 18 дней, Антон за 90 дней    
4,5(8 оценок)
Ответ:
unknown38
unknown38
19.01.2020
1) 6400-15%=5440 тг стала цена санок в феврале
2) 5440-20%=4352 тг стала цена санок в марте.
ответ: 4352 тг


1) 100%-15%=85% стала цена санок в марте
2) 85%=0,85
6400*0,85=5440 тг стала цена санок в феврале
3) 100%-20%=80% от февральской стоимости стала цена санок в марте
80%=0,80
5440*0,80=4352 тг стала цена в марте
ответ: 4352 тг


1) 6400=100%
х=15%
х=6400*15:100=на 960 тг уменьшилась цена санок в феврале
2) 6400-960=5440 тг стала цена санок в феврале
3) 5440=100%
у=20%
у=5440*20:100=на 1088 тг уменьшилась цена санок в марте
4) 5440-1088=4352 тг стала цена санок в марте
ответ: 4352 тг

Так что выбирай любой :-)
4,4(1 оценок)
Это интересно:
Новые ответы от MOGZ: Математика
logo
Вход Регистрация
Что ты хочешь узнать?
Спроси Mozg
Открыть лучший ответ