М
Молодежь
К
Компьютеры-и-электроника
Д
Дом-и-сад
С
Стиль-и-уход-за-собой
П
Праздники-и-традиции
Т
Транспорт
П
Путешествия
С
Семейная-жизнь
Ф
Философия-и-религия
Б
Без категории
М
Мир-работы
Х
Хобби-и-рукоделие
И
Искусство-и-развлечения
В
Взаимоотношения
З
Здоровье
К
Кулинария-и-гостеприимство
Ф
Финансы-и-бизнес
П
Питомцы-и-животные
О
Образование
О
Образование-и-коммуникации
Natalym2001
Natalym2001
25.03.2023 05:10 •  Математика

Решите математика 10 класс логарифмы


Решите математика 10 класс логарифмы

👇
Ответ:
Марина6456667
Марина6456667
25.03.2023

ОДЗ: х > 0

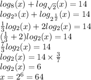
log_{8}(x) + log_{ \sqrt{2} }(x) = 14 \\ log_{ {2}^{3} }(x) + log_{ {2}^{ \frac{1}{2} } }(x) = 14 \\ \frac{1}{3} log_{2}(x) + 2 log_{2}(x) = 14 \\ ( \frac{1}{3} + 2) log_{2}(x) = 14 \\ \frac{7}{3} log_{2}(x) = 14 \\ log_{2}(x) = 14 \times \frac{3}{7} \\ log_{2}(x) = 6 \\ x = {2}^{6} = 64

4,6(33 оценок)
Открыть все ответы
Ответ:
nikakrasovska
nikakrasovska
25.03.2023
1) Я уже решал. Была выработка x единиц продукции.
За 1 год она выросла в 2 раза и стала 2x единиц.
За 2 год она снизилась на 28% от первого года и стала
2x*(1 - 0,28) = 2x*0,72 = 1,44x.
В целом за 2 года выработка выросла на 44%. Чтобы найти средний годовой прирост, нужно представить себе, что она выросла за 1 год на n%, и за 2 год еще на n%. Получится
x*(1 + n/100)^2 = 1,44x
(1 + n/100)^2 = 1,44
1 + n/100 = 1,2
n = 0,2 = 20%

2) AB = 15; AC = 21; BC = 5x+1
Главное свойство треугольника - самая большая сторона должна быть меньше, чем сумма двух других сторон.
Нам надо найти самое большое x, значит, самая большая сторона - BC.
5x + 1 < 15 + 21
5x + 1 < 36
5x < 35
x < 7
Наибольшее целое x = 6.

3) Не понял задания.
4,4(100 оценок)
Ответ:
Карина2209
Карина2209
25.03.2023
1) Я уже решал. Была выработка x единиц продукции.
За 1 год она выросла в 2 раза и стала 2x единиц.
За 2 год она снизилась на 28% от первого года и стала
2x*(1 - 0,28) = 2x*0,72 = 1,44x.
В целом за 2 года выработка выросла на 44%. Чтобы найти средний годовой прирост, нужно представить себе, что она выросла за 1 год на n%, и за 2 год еще на n%. Получится
x*(1 + n/100)^2 = 1,44x
(1 + n/100)^2 = 1,44
1 + n/100 = 1,2
n = 0,2 = 20%

2) AB = 15; AC = 21; BC = 5x+1
Главное свойство треугольника - самая большая сторона должна быть меньше, чем сумма двух других сторон.
Нам надо найти самое большое x, значит, самая большая сторона - BC.
5x + 1 < 15 + 21
5x + 1 < 36
5x < 35
x < 7
Наибольшее целое x = 6.

3) Не понял задания.
4,6(74 оценок)
Это интересно:
logo
Вход Регистрация
Что ты хочешь узнать?
Спроси Mozg
Открыть лучший ответ