М
Молодежь
К
Компьютеры-и-электроника
Д
Дом-и-сад
С
Стиль-и-уход-за-собой
П
Праздники-и-традиции
Т
Транспорт
П
Путешествия
С
Семейная-жизнь
Ф
Философия-и-религия
Б
Без категории
М
Мир-работы
Х
Хобби-и-рукоделие
И
Искусство-и-развлечения
В
Взаимоотношения
З
Здоровье
К
Кулинария-и-гостеприимство
Ф
Финансы-и-бизнес
П
Питомцы-и-животные
О
Образование
О
Образование-и-коммуникации
Марк2992
Марк2992
11.10.2021 12:42 •  Математика

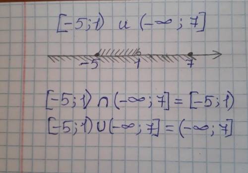
Изобразите на координатной прямой и запишите пересечение и объединение числовых промежутков: [ – 5; 1] и (−∞; 7] .

👇
Ответ:
InolaRomanova
InolaRomanova
11.10.2021

Вот как смогла)))

УДАЧИ ТЕБЕ


Изобразите на координатной прямой и запишите пересечение и объединение числовых промежутков: [ – 5;
4,8(60 оценок)
Открыть все ответы
Ответ:
Tanya200404
Tanya200404
11.10.2021

а) х - 2 = 0

   х = 0 + 2

   х = 2 - является корнем уравнения

  2 - 2 = 0

       0 = 0


б) х + 4 = 0

   х = 0 - 4

  х = - 4  -  в данном уравнении 2 не является корнем

  - 4 + 4 = 0

          0 = 0


в) 2х = 4

   х = 4 : 2

   х = 2  -  является корнем

   2 * 2 = 4

         4 = 4


г) 3х - 4 = х

   3х - х = 4

   2х = 4

   х = 4 : 2

   х = 2  -  является корнем

  3 * 2 - 4 = 2

       6 - 4 = 2

            2 = 2


д) х + 3 = 2х

   х - 2х = - 3

  - х = - 3

   х = 3  -    2 не является корнем

  3 + 3 = 2 * 3

        6 = 6


е) 2х + 4 = 6х - 2

   2х - 6х = - 2 - 4

   - 4х = - 6

   х = (- 6) : (- 4)

   х = 1,5  -    2 не является корнем

  2 * 1,5 + 4 = 6 * 1,5 - 2

          3 + 4 = 9 - 2

                7 = 7

4,5(88 оценок)
Ответ:
Даша5015664
Даша5015664
11.10.2021
. За каждую ступень образования назначила бы отвечать профессионала, знающего специфику "изнутри" + консультанта - практика, который работает в ДОУ, начальной школе и т.д.дошкольное образование;общее образование (начальное, основное, среднее (полное);профессиональное образование (начальное, среднее, высшее;дополнительное образование (для взрослых и детей);послевузовское профессиональное образование (аспирантура, докторантура, повышение квалификации и переподготовка).

Буду внимательно прислушиваться к мнению консультантов, даже если они выражают своё неприятие каких-либо моментов. Анализ фактам и свое экспертное мнение дадут именно они, так как на каждой ступени своя специфика.

Эффективно слышать других означает также уметь быстро и всесторонне анализировать услышанное, оценивать его, мгновенно создавать варианты возможных последствий и ориентироваться в своих действиях на самый вероятный из них. Вот о последствиях и буду думать "+" и "-"!


4,5(39 оценок)
Это интересно:
Новые ответы от MOGZ: Математика
logo
Вход Регистрация
Что ты хочешь узнать?
Спроси Mozg
Открыть лучший ответ