М
Молодежь
К
Компьютеры-и-электроника
Д
Дом-и-сад
С
Стиль-и-уход-за-собой
П
Праздники-и-традиции
Т
Транспорт
П
Путешествия
С
Семейная-жизнь
Ф
Философия-и-религия
Б
Без категории
М
Мир-работы
Х
Хобби-и-рукоделие
И
Искусство-и-развлечения
В
Взаимоотношения
З
Здоровье
К
Кулинария-и-гостеприимство
Ф
Финансы-и-бизнес
П
Питомцы-и-животные
О
Образование
О
Образование-и-коммуникации
галибович
галибович
05.08.2020 08:34 •  Математика

Трикутник задано вершинами a(1; 5),b(4; -3),c(2; -8) визначити: рівняння сторын ab та рівняння середньої лінії mn яка паралельна стороні ab. . нужно

👇
Ответ:
Антон8712
Антон8712
05.08.2020

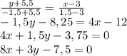
Уравнение прямой, проходящей через 2 точки:

\frac{y-y_1}{y_2-y_1}=\frac{x-x_1}{x_2-x_1}

где x1, y1, x2, y2 - координаты точек.

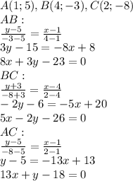
A(1;5),B(4;-3),C(2;-8)\\ AB:\\ \frac{y-5}{-3-5}=\frac{x-1}{4-1}\\ 3y-15=-8x+8\\ 8x+3y-23=0\\ BC:\\ \frac{y+3}{-8+3}=\frac{x-4}{2-4}\\ -2y-6=-5x+20\\ 5x-2y-26=0\\ AC:\\ \frac{y-5}{-8-5}=\frac{x-1}{2-1}\\ y-5=-13x+13\\ 13x+y-18=0

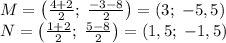
MN - средняя линия треугольника, проходящая через середины сторон BC и AC. Найдём координаты середин этих отрезков:

M=\left(\frac{4+2}2;\;\frac{-3-8}2\right)=(3;\;-5,5)\\ N=\left(\frac{1+2}2;\;\frac{5-8}2\right)=(1,5;\;-1,5)

Запишем уравнение прямой, прохоящей через точки M и N:

\frac{y+5,5}{-1,5+5,5}=\frac{x-3}{1,5-3}\\ -1,5y-8,25=4x-12\\ 4x+1,5y-3,75=0\\ 8x+3y-7,5=0

Коэффициенты при x и при y у прамых AB и MN равны, значит прямые параллельны.

4,4(33 оценок)
Ответ:
wokef1
wokef1
05.08.2020
Украинка? Респект
4,7(14 оценок)
Открыть все ответы
Ответ:
HolyKaktys
HolyKaktys
05.08.2020
     Подснежник - это луковичное многолетнее растение, высотой 15-20 см, цветок, покож на колокольчик белого, голубоватого или сиреневого оттенка. На территории России произрастает 11 видов подснежника. Расцветает, в  зависимости от местности, с февраля по апрель.
      Медуница - растение, имеющее корневище, высоторой 20-25 см. Цветы распускаются венчиками ярко-красного цвета, потом, когда вянут, преобретают фиолетовый оттенок. В России встречается 5 видов медуницы. Цветет с апреля по май. Широко используется в народной медицине.
      Ландыш майский - многолетнее растение, высотой 15-20 см. На стебле, с одной стороны, расположена цепочка мелких белоснежных цветков, формой похожих на пузатенькие колокольчики. Цветет в мае. Ландыщ майский является ядовитым растением. В переводе с латинского, название цветка звучит, как, Лилия долин, цветущая в мае.
4,7(10 оценок)
Ответ:
Write23
Write23
05.08.2020

а)1.6*(-4.5)=-72;    б)-135.2:(-6.5)=20,8;  в)-1 7/8*1 1/3=-15/8*4/3=-5/2=-2,5

г)1 2/3: (-3 1/3)=5/3:(-10/3)=5/3*(-3/10)=-1/2=-0,5.

 2.Выполните действие:

(-9.18:3.4-3.7)* 2.1+2.04=-11,4

1) -9.18:3.4-3.7 = -2,7-3,7=-6,4

2) -6,4*2,1=- 13,44

3)-13,44+2,04=- 11,4.

 3.Выразите числа восемь двадцать седьмых и две целых девить тридцать четвёртых в виде приближенного значения десятичной дроби до сотых.

8/27≈0,2963≈0,30

2 9/34= 77/34≈2,2647≈2,26.

 5.Найдите корни уравнения

(6х - 9)(4х + 0.4)= 0.

6х-9=0       4х+0,4=0

6х=9           4х=-0,4

х= 1,5          х=-0,1

четвертое задание не совсем понятно что на что умножать. 

 

4,8(92 оценок)
Это интересно:
Новые ответы от MOGZ: Математика
logo
Вход Регистрация
Что ты хочешь узнать?
Спроси Mozg
Открыть лучший ответ