М
Молодежь
К
Компьютеры-и-электроника
Д
Дом-и-сад
С
Стиль-и-уход-за-собой
П
Праздники-и-традиции
Т
Транспорт
П
Путешествия
С
Семейная-жизнь
Ф
Философия-и-религия
Б
Без категории
М
Мир-работы
Х
Хобби-и-рукоделие
И
Искусство-и-развлечения
В
Взаимоотношения
З
Здоровье
К
Кулинария-и-гостеприимство
Ф
Финансы-и-бизнес
П
Питомцы-и-животные
О
Образование
О
Образование-и-коммуникации
fedorinovkirs
fedorinovkirs
16.10.2020 18:35 •  Математика

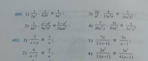
Привести дроби к общему знаменателю..​


Привести дроби к общему знаменателю..​

👇
Ответ:
evgeniya64
evgeniya64
16.10.2020

cм рис

Пошаговое объяснение:


Привести дроби к общему знаменателю..​
4,7(83 оценок)
Открыть все ответы
Ответ:
Ylana11166
Ylana11166
16.10.2020
После того, как сороки утащили косточку наблюдать за нашей любимицей стало вдвойне интереснее. Собака каким-то своим чувством понимала, что сороки не оставят ее в покое. Вьюшка оббежала вокруг будки, как будто искала место -где можно спрятать кость. Но надежного места не нашла. Попыталась зарыть кость около крыльца, но земля была плотно утрамбована и не поддалась ее лапам. В глазах собаки было такое тоскливое выражение, что даже нам стало ее жалко. После некоторого раздумья Вьюшка подошла прямо к моим ногам и носом стала подпихивать косточку прямо под мою ногу. При этом она, как мне показалось, злорадно поглядывала на сорок - ну, попробуйте, достаньте!!
4,4(72 оценок)
Ответ:
polinamanush155
polinamanush155
16.10.2020
После того, как сороки утащили косточку наблюдать за нашей любимицей стало вдвойне интереснее. Собака каким-то своим чувством понимала, что сороки не оставят ее в покое. Вьюшка оббежала вокруг будки, как будто искала место -где можно спрятать кость. Но надежного места не нашла. Попыталась зарыть кость около крыльца, но земля была плотно утрамбована и не поддалась ее лапам. В глазах собаки было такое тоскливое выражение, что даже нам стало ее жалко. После некоторого раздумья Вьюшка подошла прямо к моим ногам и носом стала подпихивать косточку прямо под мою ногу. При этом она, как мне показалось, злорадно поглядывала на сорок - ну, попробуйте, достаньте!!
4,7(22 оценок)
Это интересно:
Новые ответы от MOGZ: Математика
logo
Вход Регистрация
Что ты хочешь узнать?
Спроси Mozg
Открыть лучший ответ