М
Молодежь
К
Компьютеры-и-электроника
Д
Дом-и-сад
С
Стиль-и-уход-за-собой
П
Праздники-и-традиции
Т
Транспорт
П
Путешествия
С
Семейная-жизнь
Ф
Философия-и-религия
Б
Без категории
М
Мир-работы
Х
Хобби-и-рукоделие
И
Искусство-и-развлечения
В
Взаимоотношения
З
Здоровье
К
Кулинария-и-гостеприимство
Ф
Финансы-и-бизнес
П
Питомцы-и-животные
О
Образование
О
Образование-и-коммуникации
dinonafrie1488
dinonafrie1488
14.02.2023 17:02 •  Математика

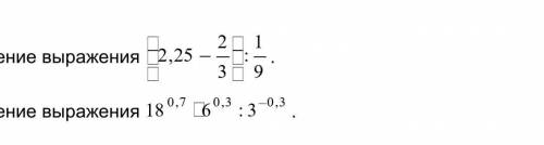
решить примеры, только подробно


решить примеры, только подробно

👇
Открыть все ответы
Ответ:
star1010
star1010
14.02.2023
Ботанический,Южныйпромышленный Уктусская,часть — Турчаниновская и Метлинская,Троцкого 22-го Партсъезда Орджоникидзевский Уралмаш ул. Ворошилова 40-летия Комсомола Кировский Комсомольский Бетонная ул. 40-летия Октября Орджоникидзевский Уралмаш ул. Ломоносова,ул. Молотова Авангардная[13] Орджоникидзевский Уралмаш От Кировоградской ул. до ул. Уральских Рабочих ул. Уральских Пролетариев,ул. Уральский Пролетарий Авиационная[13] Ленинский,Чкаловский Южный От Московской ул. до ул. Серова 6-я Загородная ул. Автомагистральная[14] Железнодорожный Сортировочный Линейная ул. Автоматчиков[14] Железнодорожный Палкино От реки Исети Автономных Республик[14] Ленинский Юго-Западный Агатовая улица[15] Чкаловский СулимовскийТорфяник Челябинском тракт, 18-й км Агрономическая Чкаловский[15] Вторчермет От Рижского пер. до ул. Селькоровской Адмирала Ушакова[15] Чкаловский пос. Рудный Азина[15] Железнодорожный Центральный От ул. Луначарского до ул. Челюскинцев 4-я Мельковская ул. Азотная[16] Чкаловский Нижнеисетский Айвазовского[16] Ленинский Южный 4-й Уктусский пер. Академика Бардина[16] Верх-Исетский,Ленинский Юго-Западный Академика Вонсовского Ленинский УНЦ Институтская ул. Академика Губкина[17] Чкаловский Химмаш Академика Карпинского[17] Чкаловский Уктусский
4,6(35 оценок)
Ответ:
Мишка12лэд
Мишка12лэд
14.02.2023
Руководитель структурного подразделения обязан:
-Обеспечить режим труда и отдыха сотрудников в соответствии с законодательством РФ.
-Обеспечить своевременное оказание первой медицинской работникам, пострадавшим при несчастных случаях. Организовать доставку работников, заболевших на рабочем месте, в медицинскую организацию в случае необходимости оказания им неотложной медицинской
-Отстранять от работы лиц, нарушающих правила, нормы, инструкции по охране труда и производственной санитарии.
-Не допускать сотрудников, занятых на работах с вредными и (или) опасными условиями труда, к выполнению ими трудовых обязанностей без прохождения обязательных медицинских осмотров, а также в случае медицинских противопоказаний.
-Обеспечить безопасную транспортировку, хранение и применение вредных веществ, материалов и других объектов повышенной опасности.
-Обеспечить контроль за соблюдением подчиненными сотрудниками (студентами) правил и инструкций по охране труда, производственной санитарии, технологических и лабораторных регламентов, выполнением правил внутреннего трудового распорядка.
-Обеспечить безопасные условия труда на каждом рабочем месте вверенного ему подразделения в соответствии с нормами и правилами охраны труда.
4,4(85 оценок)
Это интересно:
Новые ответы от MOGZ: Математика
logo
Вход Регистрация
Что ты хочешь узнать?
Спроси Mozg
Открыть лучший ответ