М
Молодежь
К
Компьютеры-и-электроника
Д
Дом-и-сад
С
Стиль-и-уход-за-собой
П
Праздники-и-традиции
Т
Транспорт
П
Путешествия
С
Семейная-жизнь
Ф
Философия-и-религия
Б
Без категории
М
Мир-работы
Х
Хобби-и-рукоделие
И
Искусство-и-развлечения
В
Взаимоотношения
З
Здоровье
К
Кулинария-и-гостеприимство
Ф
Финансы-и-бизнес
П
Питомцы-и-животные
О
Образование
О
Образование-и-коммуникации
chmy1998
chmy1998
05.07.2021 18:03 •  Математика

Найти интеграл, результат проверить дифференцированием ( Если можно без лишнего)

​​


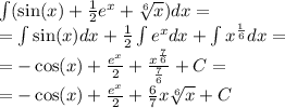
∫( \sin(x) + \frac{ {e}^{x} }{2} + \sqrt[6]{x} )dx
Найти интеграл, результат проверить дифференцированием ( Если можно без лишнего)​​

👇
Ответ:
merlinina74
merlinina74
05.07.2021

\int\limits( \sin(x) + \frac{1}{2} e {}^{x} + \sqrt[6]{x} )dx = \\ = \int\limits\sin(x) dx + \frac{1}{2} \int\limits {e}^{x} dx + \int\limits{x}^{ \frac{1}{6} } dx = \\ = - \cos(x) + \frac{ {e}^{x} }{2} + \frac{ {x}^{ \frac{7}{6} } }{ \frac{7}{6} } + C = \\ = - \cos(x) + \frac{ {e}^{x} }{2} + \frac{6}{7} x \sqrt[6]{x} + C

4,4(95 оценок)
Открыть все ответы
Ответ:
вау1905
вау1905
05.07.2021
Мое отношение ко всем проявлениям поп- культуры однозначно: это до такой степени тошнотно, что я уже давным –давно выбросил телевизор, чтобы эти проявления не засоряли мой эфир своими миазмами. В равной степени это относится к попсе, мыльным операм, всем трёп-шоу, и дебильному современному смехотворству. 
Однажды, на заре отечественного пристращавания населения Расеи к этой мерзости на 
Родильном столе лежала моя сестра ( В Господе) со своим неродившемся еще первенцем.
Медперсонал забил на нее самым наглым образом по-причине великого телеговнища « Не просто Мария» (или просто… не смотрел, не помню) 
Когда закончился сериал, то мальчика было уже поздно…
Большинство этой гадости налабано с таким низким уровнем актерского мастерства, озвучки, операторства и прочего, что просто диву даешься: каким же низким уровнем развития надо обладать, чтобы сидеть воткнув толстозадие в мягкий диван и смотреть это!! ! Пропаганда супружеской неверности, педерастии, пьянства, курения и прочей греховности захлестнула через экраны немощные умы людей мира сего. Если детально изучить глубины этих явлений, то можно делать смелый вывод : современная культура, наука и политика направлена на убийство собственных граждан, причем, как духовному, так и телесному. Вот цитата одного из сильных мира сего : « современную молодежь надо развратить так, чтобы она была не произвести на свет здорового потомства. Нашей непреложной задачей является прежде всего сокращение поголовья человечества до 2х миллиардов людей и сотворения нового мирового сообщества на базе общемирового правительства» .
4,7(66 оценок)
Ответ:
Vetaflyy
Vetaflyy
05.07.2021
Если привлекательность гречихи для человека объяснить не столь сложно, то не всегда в достаточной степени ясно, а чем же растение привлекает пчёл? Понятно, что там есть пыльца, которую они собирают, а также нектар, но они имеется у многих растений, чем же гречиха особенная? Всё дело в том, что нектар гречихи обладает очень сильным и, вместе с тем, приятным для пчёл ароматом, на также он в обилии стекает на дно цветка. Кроме того, он очень калорийный, потому пчёлы, для которых очень важна практичность при заготовке мёда, всегда отдадут предпочтение именно калорийным вещам, потому что они позволят им более оптимально питаться и продержаться на одном и том же количестве запасов более долгое время.
4,6(31 оценок)
Это интересно:
Новые ответы от MOGZ: Математика
logo
Вход Регистрация
Что ты хочешь узнать?
Спроси Mozg
Открыть лучший ответ