М
Молодежь
К
Компьютеры-и-электроника
Д
Дом-и-сад
С
Стиль-и-уход-за-собой
П
Праздники-и-традиции
Т
Транспорт
П
Путешествия
С
Семейная-жизнь
Ф
Философия-и-религия
Б
Без категории
М
Мир-работы
Х
Хобби-и-рукоделие
И
Искусство-и-развлечения
В
Взаимоотношения
З
Здоровье
К
Кулинария-и-гостеприимство
Ф
Финансы-и-бизнес
П
Питомцы-и-животные
О
Образование
О
Образование-и-коммуникации
melisa9999
melisa9999
11.11.2022 23:22 •  Математика

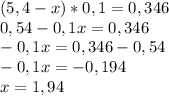
Решите уравнение
(5,4-х)*0,1=0,346

👇
Ответ:
Nr2006
Nr2006
11.11.2022

(5,4-x)*0,1=0,346\\0,54-0,1x=0,346\\-0,1x=0,346-0,54\\-0,1x=-0,194\\x=1,94

Пошаговое объяснение:

4,4(22 оценок)
Открыть все ответы
Ответ:
СофикаКис
СофикаКис
11.11.2022

1) при пересечении 2-х прямых образуются вертикальные улы их суммы 360грасудов. Противолежащие улы равны, следовательно а) раз один угол 10грасудов, то и противолежащий 10градусов
10+10=20

360-00=340
340:2=170

два угла по 170

б) 115+115=330

360-330=30

30:2=15

в) 90+90=180

360-180=180

180:2=90
если при пересечении 2-х прямых образовался угол90градусов, то он прямой и все остальные тоже будут по 90градусов 

 

2) 360-254=106

106+106=212

360-212=148

148:2=74

значит 2 угла по 74 градуса и 2 угла по 106 градусов 

4,6(53 оценок)
Ответ:
Kaspiii
Kaspiii
11.11.2022

1) при пересечении 2-х прямых образуются вертикальные улы их суммы 360грасудов. Противолежащие улы равны, следовательно а) раз один угол 10грасудов, то и противолежащий 10градусов
10+10=20

360-00=340
340:2=170

два угла по 170

б) 115+115=330

360-330=30

30:2=15

в) 90+90=180

360-180=180

180:2=90
если при пересечении 2-х прямых образовался угол90градусов, то он прямой и все остальные тоже будут по 90градусов 

 

2) 360-254=106

106+106=212

360-212=148

148:2=74

значит 2 угла по 74 градуса и 2 угла по 106 градусов 

4,6(24 оценок)
Это интересно:
Новые ответы от MOGZ: Математика
logo
Вход Регистрация
Что ты хочешь узнать?
Спроси Mozg
Открыть лучший ответ