а) 
б)
Если нам известно, что гоночную машину и грузовик Кирилл собирал 22 дня, а грузовик и автобус за 28, то нам нужно из 34 дней вычесть 28 дней, чтобы узнать, сколько дней Кирилл собирал гоночную машину.
1) 34-28=6(д.) - Кирилл собирал гоночную машину.
Теперь узнаем, сколько дней Кирилл собирал модель грузовика. Для этого нам потребуется из 22 вычесть 6.
2) 22-6=16(д.) - Кирилл собирал грузовик.
Теперь, если мы знаем, что грузовик Кирилл собирал 16 дней, вычислим сколько дней Кирилл собирал автобус.
3) 28-16=12(д.) - Кирилл собирал автобус.
ответ: гоночную машину Кирилл собрал за 6 дней, грузовик за 16, а автобус за 12.
Поставь , лучший ответ. Буду благодарен :)
1)17*(5x-3)-32=1700
сначала находим в скобках
17×2x-32=1700
Сейчас у нас главное число это 2x,значит вспоминаем как найти множитель,или подставляем числа 5,4,3,2,1 можно больше но это самые лёгкие,2×2=4,смотрим и думаем,как найти второе число,ответ нужно поделить на известный множитель.И так дальше
2x-32=1700:17
2x-32=100
2x=100+32
2x=132
x=132:2
x=66
2)6*(3x+6)+22=2344
6*9x+22=2344
Тут не делится ровно поэтому наверное можно прихитрить
6*9x=54x
54x+22=2344
54x=2344-22
54x=2322
x=2322÷54
x=43
3)95+116-(173x-100x-72x)=183
95+116-1x=183
211-1x=183
1x=211-183
1x=28
x=28
4)(83x+77x-159x)-(87+95)=24
1x-(87+95)=24
1x-182=24
1x=182+24
1x=206
x=206
5)127+(95x-94x)=212
127+1x=212
1x=212-127
1x=85
x=85
6)(83x-82x)+317=502
1x+317=502
1x=502-317
1x=185
x=185
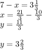
а) 7-х=
х = 7 -
х =
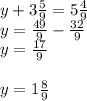
б) у+3 5/9=5 4/9
у =5 4/9 - 3 5/9
у = 1 8/9