М
Молодежь
К
Компьютеры-и-электроника
Д
Дом-и-сад
С
Стиль-и-уход-за-собой
П
Праздники-и-традиции
Т
Транспорт
П
Путешествия
С
Семейная-жизнь
Ф
Философия-и-религия
Б
Без категории
М
Мир-работы
Х
Хобби-и-рукоделие
И
Искусство-и-развлечения
В
Взаимоотношения
З
Здоровье
К
Кулинария-и-гостеприимство
Ф
Финансы-и-бизнес
П
Питомцы-и-животные
О
Образование
О
Образование-и-коммуникации
urmanovae1983
urmanovae1983
06.07.2022 03:32 •  Математика

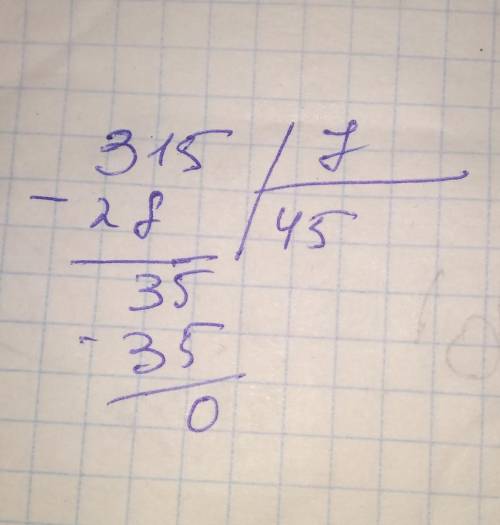
315:7 столбиком с решением​

👇
Ответ:
Эверяшка
Эверяшка
06.07.2022

315:7= 45.................


315:7 столбиком с решением​
4,4(23 оценок)
Ответ:
jvhhvcx
jvhhvcx
06.07.2022
45

Желаю удачи в учебе! :)

P.S. Поставь " "


315:7 столбиком с решением​
4,5(12 оценок)
Открыть все ответы
Ответ:
арвгшвш
арвгшвш
06.07.2022
всего --- 400 тг
50 тг ? монет;
100 тг --? монет;
вариантов --?
Решение.
Пусть Х монет достоинством 50 тг составляют сумму 50Х тг, а У монет достоинством 100 тг сумму 100Утг. Так как по условию всего 400 тг, составляем уравнение.
50Х + 100У = 400 (тг) и сокращаем для удобства все его члены на 50 и получаем линейное уравнение в каноническом виде :
Х + 2У = 8;  
или  в виде линейной функции: У = 4 - Х/2
 Графическое решение - это  прямая у = 4 - х/2 и координаты точек этой прямой, но ЗАДАЧА накладывает свои условия:
Х и У  --- целые числа натурального ряда, ведь речь идет о реальных монетах; причем число Х должно быть четным .
Х >0; У >0, так как по условию имеются и те, и другие монеты;
У>0 соблюдается при (4-Х/2)>0; ⇒   Х<8
Поскольку уравнение у нас ОДНО, а переменных две, то обращать его в тождество, т.е. его решением будут пары чисел:
Х = 2;  У = 4 - Х/2 = 4 -1 = 3:
Х = 4;  У = 4 - 4/2 = 4 - 2 = 2;
Х = 6;  У = 4 - 6/2 = 4 - 3 = 1
ответ: три варианта ответа: а) 2 монеты по 50 тг и 3 по 100 тг;  б) 4 по 50 тг и 2 по 100 тг; в) 6 по 50 тг и 1 по 100 тг;
Проверка: а) 50*2+100*3=400;   400 = 400;   б) 50*4+100*2=400;   400=400;   в) 50*6+100*1=400;   400=400;
4,8(18 оценок)
Ответ:
alikjd8
alikjd8
06.07.2022

Все в мире создается трудом: строятся города, фабрики и заводы, выращивается хлеб, создаются умные машины, добротные Дома, спроектированные инженерами, шахты, построенные строителями, уголь, добытый шахтерами, цветущие сады, ухоженные людьми, смеющиеся дети, воспитанные родителями, детским садом и школой, — во все это вложен труд людей. Их мысль взлетела высоко, а руки воплотили мысль в дело. И все это для человека чтобы он был сыт, здоров, весел и счастлив. А без труда нет и плода — говорит народная мудрость, ведь «всякое дело человеком ставится, человеком и славится» .  

 

Нет числа пословицам и поговоркам, в которых народ возвеличивает труд. А труд превозносит человека, делает его сильным и стойким, богатым и независимым. «Труд для человека — здоровье и жизнь» . Ведь «кто привык тру­диться, тому без дела не сидится» . О людях, которые все умеют, говорят: «И швец, и жнец, и на дуде игрец» , то есть — умелый, работящий человек. Таких всегда уважают, ценят и в семье, и на производстве.  

 

РОЛЬ ТРУДА В ЖИЗНИ ОБЩЕСТВА (пословицы) .  

1. Труд - основа жизни.  

2. Всё что есть всё от труда.  

3. Труд - дело чести, будь в труде на первом месте.  

4. Гляди не на человека, а на его труд.  

5. Землю красит солнце, а человека труд.  

6. Птицу узнают в полёте, человека в работе.  

7. Без труда не вынешь и рыбку из пруда.  

8. Волков бояться - в лес не ходить.  

9. Дело мастера боится.  

10. Глаза страшатся, а руки делают

4,4(89 оценок)
Это интересно:
Новые ответы от MOGZ: Математика
logo
Вход Регистрация
Что ты хочешь узнать?
Спроси Mozg
Открыть лучший ответ