М
Молодежь
К
Компьютеры-и-электроника
Д
Дом-и-сад
С
Стиль-и-уход-за-собой
П
Праздники-и-традиции
Т
Транспорт
П
Путешествия
С
Семейная-жизнь
Ф
Философия-и-религия
Б
Без категории
М
Мир-работы
Х
Хобби-и-рукоделие
И
Искусство-и-развлечения
В
Взаимоотношения
З
Здоровье
К
Кулинария-и-гостеприимство
Ф
Финансы-и-бизнес
П
Питомцы-и-животные
О
Образование
О
Образование-и-коммуникации
Trion24
Trion24
10.07.2021 22:26 •  Математика

я не была в школе вот и не понимаю​


я не была в школе вот и не понимаю​

👇
Ответ:
2006marusya
2006marusya
10.07.2021

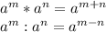
Здесь все задания выполняются по двум свойствам степеней:

a^m*a^n=a^{m+n}\\a^m:a^n=a^{m-n}\\

5^3*5^2=5^5=3125\\10^3*10^4=10^7=10000000\\6^9:6^8=6^1=6\\c^8:c^7=c^1=c\\\frac{a^2*a^4}{a^6} =\frac{a^6}{a^6} =a^0=1\\(c^2)^3=c^6\\(b^6)^2=b^12\\(a^4)^5=a^{20}\\\frac{2^3*2^4*2}{(2^3)^2} =\frac{2^8}{2^6} =2^2=4\\\frac{(3^6)^3}{(3^2)^4*3^{10}}=\frac{3^{18}}{3^{18}}=1

4,5(77 оценок)
Ответ:
AndHeAgaIN2
AndHeAgaIN2
10.07.2021

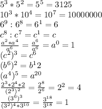
5³×5²=3125

10³×10⁴=10.000.000

6⁹÷6⁸=36

только их знаю

4,5(99 оценок)
Открыть все ответы
Ответ:
КРЕНДЕЛЬ228
КРЕНДЕЛЬ228
10.07.2021
Древний Египет оставил огромное культурное наследие для мировой цивилизации, произведения его искусства ещё в древности вывозились в различные уголки мира и широко копировались мастерами других стран. Своеобразные архитектурные формы — величественные пирамиды, храмы, дворцы и обелиски, вдохновляли воображение путешественников и исследователей в течение многих столетий. Египетскими мастерами создавались прекрасные настенные росписи и статуи, были освоены производства стекла и фаянса, поэтами и писателями созданы новые формы в литературе. В числе научных достижений древних египтян было создание оригинальной системы письма, математика, практическая медицина, астрономические наблюдения и возникший на их основе календарь.
4,7(51 оценок)
Ответ:
NeZnaiYProsto
NeZnaiYProsto
10.07.2021
Для того чтобы найти экстремум функции найдем сперва ее производную
y'=(2x^3-3x^2)'=6x^2-6x=6x(x-1)
Теперь приравняем производную к нолю и решим полученное уравнение
6x(x-1)=0
6х=0      х-1=0
х=0        х=1
 Нанесем полученные точки на ось Ох и определим знак функции.
ОБЯЗАТЕЛЬНО НАРИСОВАТЬ. таким образом получим три  промежутка       
1. (-беск; 0): у(-2)=6*(-2)(-2-1)=-12*(-3)=36, >0
2. [0;1]:          y(0,5)=6*0,5*(0,5-1)=3*(-0,5)-1,5  <0 
3.(1;беск):     y(2) 6*2(2-1)=12*(1)=12, >0
И так видим что при прохождении точек х=0 и х=1 функции меняет свой знак следовательно эти точки и являются экстремумами функции
ответ:х=0 и х=1
4,5(13 оценок)
Это интересно:
Новые ответы от MOGZ: Математика
logo
Вход Регистрация
Что ты хочешь узнать?
Спроси Mozg
Открыть лучший ответ