М
Молодежь
К
Компьютеры-и-электроника
Д
Дом-и-сад
С
Стиль-и-уход-за-собой
П
Праздники-и-традиции
Т
Транспорт
П
Путешествия
С
Семейная-жизнь
Ф
Философия-и-религия
Б
Без категории
М
Мир-работы
Х
Хобби-и-рукоделие
И
Искусство-и-развлечения
В
Взаимоотношения
З
Здоровье
К
Кулинария-и-гостеприимство
Ф
Финансы-и-бизнес
П
Питомцы-и-животные
О
Образование
О
Образование-и-коммуникации
valentinateleg2607
valentinateleg2607
17.10.2020 20:52 •  Математика

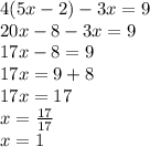
4(5х -2)-3х=9
Как решить
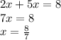
2х+5х=8
Решите уравнение

👇
Ответ:
хорошист428
хорошист428
17.10.2020

4(5x - 2) - 3x = 9 \\ 20x - 8 - 3x = 9 \\ 17x - 8 = 9 \\ 17x = 9 + 8 \\ 17x = 17 \\ x = \frac{17}{17} \\ x = 1

_______________

2x + 5x = 8 \\ 7x = 8 \\ x = \frac{8}{7}

4,8(92 оценок)
Ответ:
KristinaLando
KristinaLando
17.10.2020

ответ:  1.    1  1/7.

Пошаговое объяснение:

4(5х -2)-3х=9 ;

20x-8 -3x = 9;

20x-3x = 9 + 8;

17x = 17;

x=1.

***

2х+5х=8 ;

7x=8;

x=8/7;

x= 1  1/7.

4,6(16 оценок)
Открыть все ответы
Ответ:
Anastasia7711
Anastasia7711
17.10.2020

При проведении работ, связанных с изготовлением различных деталей, ремонтных и строительных работ и пр. применяют контрольно-измерительные инструменты. Предприятия, занимающиеся производством этой продукции, выпускают множество видов измерительного инструмента – ручной, универсальный, цифровой и пр.

К ручному измерительному инструменту относят такие, как — линейки, рулетки, угольники, штангенинструмент, микрометрический и пр. Большая часть ручного инструмента относится к универсальному измерительному инструменту. Такие изделия можно применять при проведении замеров большей части деталей и узлов.

Ручные измерительные инструменты

4,4(45 оценок)
Ответ:
milana20123
milana20123
17.10.2020
Твір «Що означає бути дорослим i самостійним?»Що означає бути дорослим і самостійним? Цікаве питання. Згідно законодавства, дорослою в Україні вважається людина, що досягла 18 років. Та віковий критерій – не єдиний показник зрілості. Ще одним показником дорослої людини є самостійність. Я розумію самостійність як здатність приймати рішення та нести за них повну відповідальність. Але, на мій погляд, це формулювання також не є повним. Справа в тому, що людям часто треба приймати рішення, від яких залежить частково, а іноді і повністю доля інших людей. Яскравим прикладом тут може стати війна. Під час бойових дій від рішень командира залежить доля вояків, а від рішень полководців – доля народів.Звичайно ж, не тільки на війні людям буває необхідно вирішувати складні питання. Від самого народження людина потребує турботи і захисту батьків. І батьки, зі свого боку, повинні дуже відповідально підходити до рішення про народження дитини. Але так трапляється не завжди. В нашій країні гостро стоїть проблема дітей-сиріт. У деяких з них батьки померли, немає родичів, які б могли про них потурбуватись. Але дедалі частішими стають випадки, коли матері залишають дітей у пологових будинках, мотивуючи відмову неможливістю забезпечити малюка. Питання, навіщо людина зробила крок, до якого була неготовою, у більшості випадків лишається без відповіді. Та беззаперечним залишається факт: людина, що зробила такий крок, дорослою вважатися поки що не може. Насамперед, тому, що зробивши відповідальний крок, вона не витримала відповідальності.
4,7(40 оценок)
Это интересно:
logo
Вход Регистрация
Что ты хочешь узнать?
Спроси Mozg
Открыть лучший ответ