М
Молодежь
К
Компьютеры-и-электроника
Д
Дом-и-сад
С
Стиль-и-уход-за-собой
П
Праздники-и-традиции
Т
Транспорт
П
Путешествия
С
Семейная-жизнь
Ф
Философия-и-религия
Б
Без категории
М
Мир-работы
Х
Хобби-и-рукоделие
И
Искусство-и-развлечения
В
Взаимоотношения
З
Здоровье
К
Кулинария-и-гостеприимство
Ф
Финансы-и-бизнес
П
Питомцы-и-животные
О
Образование
О
Образование-и-коммуникации
kokoko29
kokoko29
28.08.2021 06:22 •  Математика

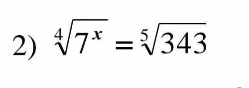
решить показательное уравнение (с обьяснением)​


решить показательное уравнение (с обьяснением)​

👇
Ответ:
BaBaika322
BaBaika322
28.08.2021

2,4

Пошаговое объяснение:

\sqrt[n]{a^{m}}=a^{\tfrac{m}{n}};

\sqrt[4]{7^{x}}=\sqrt[5]{343};

7^{\tfrac{x}{4}}=\sqrt[5]{7^{3}};

7^{\tfrac{x}{4}}=7^{\tfrac{3}{5}};

\dfrac{x}{4}=\dfrac{3}{5};

x=0,6 \cdot 4;

x=2,4;

4,4(66 оценок)
Ответ:
Dan2707
Dan2707
28.08.2021

решение на фотографии


решить показательное уравнение (с обьяснением)​
4,5(56 оценок)
Открыть все ответы
Ответ:
asyavish15oy8la6
asyavish15oy8la6
28.08.2021
 Вербы заменяют собой -пальмовые ветви, которые держали в руках встречавшие Христа жители ИерусалимаВ такой светлый день, как Вербное воскресенье, не стоит заниматься напряженными делами, долго прибираться в доме, наводить порядки. Разумеется, в крайних случаях, когда нужно что-то сделать, это допускается. Но чтобы почувствовать праздник, лучше всего приготовиться к нему заранее, чтобы в это весеннее воскресенье уделить внимание семье и хорошо отдохнуть.
Хранится освященная верба до следующего года. В этот день разрешается употребление рыбных блюд (несмотря на Великий пост). в этот день всегда приобретают свежие ветви вербы, освящают, ставят в вазы по всему дому, а еще дарят знакомым, близким, друзьям и родным
4,6(10 оценок)
Ответ:
мороженле
мороженле
28.08.2021
 Вербы заменяют собой -пальмовые ветви, которые держали в руках встречавшие Христа жители ИерусалимаВ такой светлый день, как Вербное воскресенье, не стоит заниматься напряженными делами, долго прибираться в доме, наводить порядки. Разумеется, в крайних случаях, когда нужно что-то сделать, это допускается. Но чтобы почувствовать праздник, лучше всего приготовиться к нему заранее, чтобы в это весеннее воскресенье уделить внимание семье и хорошо отдохнуть.
Хранится освященная верба до следующего года. В этот день разрешается употребление рыбных блюд (несмотря на Великий пост). в этот день всегда приобретают свежие ветви вербы, освящают, ставят в вазы по всему дому, а еще дарят знакомым, близким, друзьям и родным
4,7(3 оценок)
Это интересно:
Новые ответы от MOGZ: Математика
Полный доступ к MOGZ
Живи умнее Безлимитный доступ к MOGZ Оформи подписку
logo
Вход Регистрация
Что ты хочешь узнать?
Спроси Mozg
Открыть лучший ответ