М
Молодежь
К
Компьютеры-и-электроника
Д
Дом-и-сад
С
Стиль-и-уход-за-собой
П
Праздники-и-традиции
Т
Транспорт
П
Путешествия
С
Семейная-жизнь
Ф
Философия-и-религия
Б
Без категории
М
Мир-работы
Х
Хобби-и-рукоделие
И
Искусство-и-развлечения
В
Взаимоотношения
З
Здоровье
К
Кулинария-и-гостеприимство
Ф
Финансы-и-бизнес
П
Питомцы-и-животные
О
Образование
О
Образование-и-коммуникации
захра5566
захра5566
24.07.2021 07:04 •  Математика

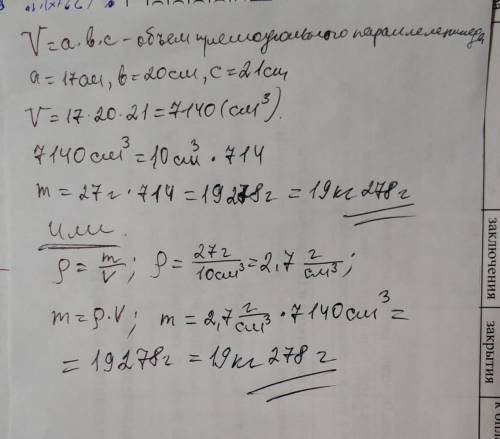
Деталь в форме прямоугольного параллелепипеда имеет измерения 17 см 20 см и 21 см и изготовление из алюминия масса 10 см в кубе алюминия равна 27 г Найдите массу всей детали

👇
Ответ:
kattya100
kattya100
24.07.2021

19 кг 278 гр

Пошаговое объяснение:

17*20*21 = 7140 куб. см

7140:10*27= 19278 грамм -масса детали

4,4(60 оценок)
Ответ:
KIRICHbyKIRICH
KIRICHbyKIRICH
24.07.2021

m = 19 кг 278 г

Пошаговое объяснение:

решение во вложении


Деталь в форме прямоугольного параллелепипеда имеет измерения 17 см 20 см и 21 см и изготовление из
4,4(11 оценок)
Открыть все ответы
Ответ:
temnikovay01
temnikovay01
24.07.2021

ответ:√82


Пошаговое объяснение:

Если поместить центр начала координат в середину гипотенузы и провести ось Y через вершину прямого угла, а ось X вдоль гипотенузы, то вершины треугольника будут иметь координаты (20,0) (-20,0) (0,20), а центр окружности радиуса 9 будет находиться в точке (0, 9). Уравнение стороны и уравнение окружности выглядят так.x+y=20; x^2+(y — 9) ^2=9^2; отсюда y — 9=11 — x; и для точек пересечения получается квадратное уравнение на их координаты x1 и x2; x^2+(11 — x) ^2=9^2; или x^2 — 11*x+20=0; x1=(11+√41) /2; x2=(11 — √41) /2; Расстояние между точками пересечения стороны и окружности, очевидно, равноd=(x1 — x2)*√2=√82;

4,8(63 оценок)
Ответ:
Милкович11
Милкович11
24.07.2021

ответ:√82


Пошаговое объяснение:

Если поместить центр начала координат в середину гипотенузы и провести ось Y через вершину прямого угла, а ось X вдоль гипотенузы, то вершины треугольника будут иметь координаты (20,0) (-20,0) (0,20), а центр окружности радиуса 9 будет находиться в точке (0, 9). Уравнение стороны и уравнение окружности выглядят так.x+y=20; x^2+(y — 9) ^2=9^2; отсюда y — 9=11 — x; и для точек пересечения получается квадратное уравнение на их координаты x1 и x2; x^2+(11 — x) ^2=9^2; или x^2 — 11*x+20=0; x1=(11+√41) /2; x2=(11 — √41) /2; Расстояние между точками пересечения стороны и окружности, очевидно, равноd=(x1 — x2)*√2=√82;

4,8(93 оценок)
Это интересно:
Новые ответы от MOGZ: Математика
logo
Вход Регистрация
Что ты хочешь узнать?
Спроси Mozg
Открыть лучший ответ