М
Молодежь
К
Компьютеры-и-электроника
Д
Дом-и-сад
С
Стиль-и-уход-за-собой
П
Праздники-и-традиции
Т
Транспорт
П
Путешествия
С
Семейная-жизнь
Ф
Философия-и-религия
Б
Без категории
М
Мир-работы
Х
Хобби-и-рукоделие
И
Искусство-и-развлечения
В
Взаимоотношения
З
Здоровье
К
Кулинария-и-гостеприимство
Ф
Финансы-и-бизнес
П
Питомцы-и-животные
О
Образование
О
Образование-и-коммуникации
vlgonotrada
vlgonotrada
28.04.2020 11:13 •  Математика

Решите производные функции


Решите производные функции

👇
Ответ:
selenagulya2002
selenagulya2002
28.04.2020

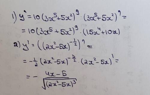
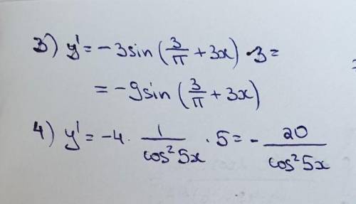
решение на фотографиях


Решите производные функции
Решите производные функции
4,7(100 оценок)
Открыть все ответы
Ответ:
ksenaf
ksenaf
28.04.2020
1 кг=1000 г                                                                                                       1) 1000 г- 4,5 м                                                                                              х, г - 1,26                                                                              х = 1,26*1000/4,5 = 280 г- купит на 1,26 манат                                                   2) 1000 г - 4,5 м                                                                                       100 г - х, м                                                                          х = 4,5*100/1000 = 0,45- надо заплатить 100 г сыра
4,6(51 оценок)
Ответ:
viloverbe
viloverbe
28.04.2020
1 кг=1000 г                                                                                                       1) 1000 г- 4,5 м                                                                                              х, г - 1,26                                                                              х = 1,26*1000/4,5 = 280 г- купит на 1,26 манат                                                   2) 1000 г - 4,5 м                                                                                       100 г - х, м                                                                          х = 4,5*100/1000 = 0,45- надо заплатить 100 г сыра
4,5(29 оценок)
Это интересно:
Новые ответы от MOGZ: Математика
logo
Вход Регистрация
Что ты хочешь узнать?
Спроси Mozg
Открыть лучший ответ