М
Молодежь
К
Компьютеры-и-электроника
Д
Дом-и-сад
С
Стиль-и-уход-за-собой
П
Праздники-и-традиции
Т
Транспорт
П
Путешествия
С
Семейная-жизнь
Ф
Философия-и-религия
Б
Без категории
М
Мир-работы
Х
Хобби-и-рукоделие
И
Искусство-и-развлечения
В
Взаимоотношения
З
Здоровье
К
Кулинария-и-гостеприимство
Ф
Финансы-и-бизнес
П
Питомцы-и-животные
О
Образование
О
Образование-и-коммуникации
Supernub123464
Supernub123464
22.11.2022 20:02 •  Математика

Решить уравнения -3(2,1x-4)-4,2=1,2(-5x+0,5) 6,4(2-3y)=6(0,8y-1)+6,8 3,2(5x-1)=3,6x-4,9

👇
Ответ:
Sunlight11
Sunlight11
22.11.2022

1)-3(2,1x-4)-4,2=1,2(-5x+0,5)

-6,3х+12-4,2=-6х+0,6

-6,3х+6х=0,6-12+4,2

-0,3х=-7,2

х=24

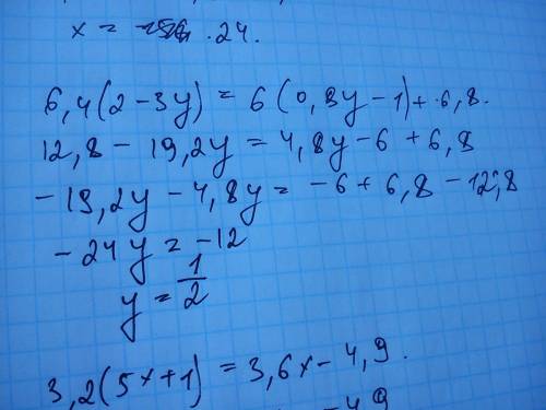
2)6,4(2-3y)=6(0,8y-1)+6,8

12,8-19,2у=4,8у-6+6,8

-19,2у-4,8у=0,8-12,8

-24у=-12

у=0,5  извините)

3)3,2(5x-1)=3,6x-4,9

16х-3,2=3,6х-4,9

16х-3,6х=-4,9+3,2

12,4х=-1,7

х≈-0,137

 

 

 

 

 

 

 

 

 

 

 

 

 

 

 

 

 

 

 

 

 

 

 

 

 

 

 

 

4,5(67 оценок)
Ответ:
tim14stefan24
tim14stefan24
22.11.2022

во втором ошибка, решение во вложениях..


Решить уравнения -3(2,1x-4)-4,2=1,2(-5x+0,5) 6,4(2-3y)=6(0,8y-1)+6,8 3,2(5x-1)=3,6x-4,9
4,5(70 оценок)
Открыть все ответы
Ответ:
lu000001
lu000001
22.11.2022

а) Обратимся к следствию из основного тригонометрического множества: cos^2(a) = 1 - sin^2(a), тогда cos(a) = +- √(1 - sin^2(a)). Получим:

cos(a) = +- √(1 - sin^2(a)) = +- √(1 - (0,8)^2) = +- 0,6.

Поскольку a принадлежит второму квадранту косинус отрицательный:

cos(a) = -0,6.

б) Воспользуемся формулой двойного аргумента для синуса:

sin(2a) = 2sin(a)cos(a) = 2 * 0,8 * (-0,6) = -0,96.

в) Формула для косинуса:

cos(2a) = cos^2(a) - sin^2(a).

cos(2a) = (-0,6)^2 - (-0,8)^2 = 0,36 - 0,64 = -0,28.

Пошаговое объяснение:

4,7(83 оценок)
Ответ:
Anush8383
Anush8383
22.11.2022

а) заметим, что при любом исходе заряд уменьшается на количество пунктов кратное 3

т.к. 32 не делится на 3, то на 32 пункта заряд не мог уменьшиться


б) пусть пройдено a уровней на 3 звезды, b уровней на 2 звезды и с уровней на 1 звезду, тогда:


3a + 6b + 9c = 33

3a + 2b + c = 17


a + 2b + 3c = 11

3a + 2b + c = 17


из первого равенства, с < 4, т.к. 3*4 = 12 > 11


1) c = 0


a + 2b = 11

3a + 2b = 17


2a = 6

a = 3

b = 4


a + b + c = 7 (уровней)


2) c = 1


a + 2b = 8

3a + 2b = 16


2a = 8

a = 4

b = 2


a+b+c=7 (уровней)


3) с = 2


a + 2b = 5

3a + 2b = 15


2a = 10

a = 5


b = 0


a+b+c=7 (уровней)


4) с=3


a + 2b = 2

3a + 2b = 14


2a = 12

a = 6 > 2 - нет решения


Итого в любом случае 7 уровней


в) подставим полученные в б) случаи


1) 3 * 9000 + 4 * 5000 = 27000 + 20000 = 47000


2) 4*9000 + 2*5000 + 2000 = 36000 + 10000 + 2000 = 48000


3) 5*9000 + 2*2000 = 45000 + 4000 = 49000


ответ: 49000

4,5(84 оценок)
Это интересно:
Новые ответы от MOGZ: Математика
logo
Вход Регистрация
Что ты хочешь узнать?
Спроси Mozg
Открыть лучший ответ