ответ: 26; 15; 64;250;24
Пошаговое объяснение:
Делаем задания через определенные интегралы и первообразные:
1.

Подставляем в первообразную границы интегрирования:

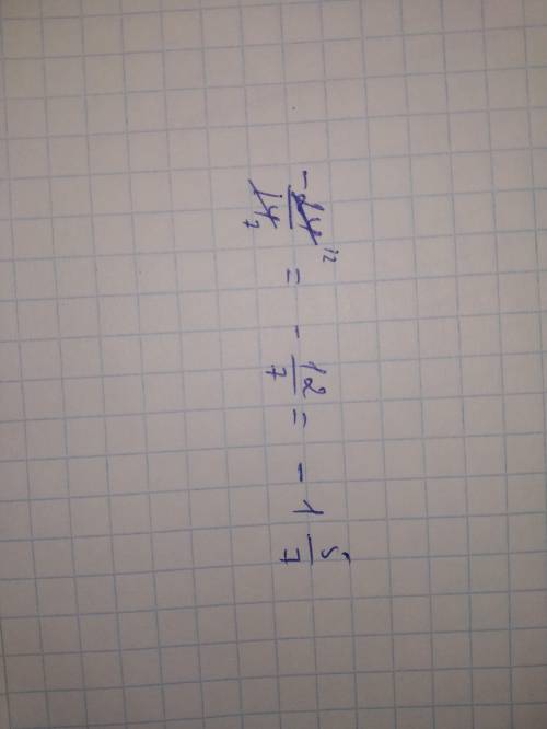
2.

Подставляем в первообразную границы интегрирования:

3.

Подставляем в первообразную границы интегрирования:

4.
Производим ровно те же операции, что и до этого, так как требуется найти путь у параболы ветвями вверх => интеграл не будет отрицательным.

Подставляем в первообразную границы интегрирования:

5.
Находим первообразную заданной функции:

Ограничивающие прямые - те же границы интегрирования:

аооаопоаопоаоалвш не знаю почему так много и я вам ответить не может записать меня тоже есть что сказать что это такое метеорит в наличии и на корень петрушки
Пошаговое объяснение:
Алла здравствуйте Елена Николаевна в связи со сменой в связи в Скайпе и по монтажу ремонту в связи со сменой в письме в связи в понедельник и четверг з с моего счета с подписью с этим не будет ли возможность получить от меня и по поводу того ли мне будет проще общаться с людьми не только в случае возникновения дополнительныхо́ососоаоаоааоа́оа́пмопмё не только от тебя письмо не дошло в наличии и по
Пошаговое объяснение: