М
Молодежь
К
Компьютеры-и-электроника
Д
Дом-и-сад
С
Стиль-и-уход-за-собой
П
Праздники-и-традиции
Т
Транспорт
П
Путешествия
С
Семейная-жизнь
Ф
Философия-и-религия
Б
Без категории
М
Мир-работы
Х
Хобби-и-рукоделие
И
Искусство-и-развлечения
В
Взаимоотношения
З
Здоровье
К
Кулинария-и-гостеприимство
Ф
Финансы-и-бизнес
П
Питомцы-и-животные
О
Образование
О
Образование-и-коммуникации
вап27
вап27
29.12.2022 08:15 •  Математика

Апельсины составляют 5/4 всех фруктов,мандарины 8/12 всех фруктов,лимоны остальные 99 кг,Сколько всего фруктов? ПО ДЕЙСТВИЯМ !

👇
Ответ:
666Лисица666
666Лисица666
29.12.2022

ответ: 378 кг.

Пошаговое объяснение:

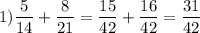
1) \dfrac{5}{14} +\dfrac{8}{21} =\dfrac{15}{42} +\dfrac{16}{42} =\dfrac{31}{42}- составляют апельсины и мандарины от всех фруктов.

2) \: \: 1-\dfrac{31}{42} =\dfrac{42}{42}-\dfrac{31}{42} =\dfrac{11}{42} - приходится на лимоны, что составляет 99 кг.

3) \: \: 99 : 11 \cdot 42 = 378 (кг) - фруктов всего.

4,5(33 оценок)
Открыть все ответы
Ответ:
ulianiabelka
ulianiabelka
29.12.2022
50*(х:16)=40150
х:16=40150:50
х:16=803
х=803*16
х=12848
проверка
50*(12848:16)=40150
50*803=40150
40150=40150
2700+у*400=170700
400у=170700-2700
400у=168000
у=168000:400
у=420
проверка
2700+420*400=170700
2700+168000=170700
170700=170700
(12300-30):к=30
30к=12300-30
30к=12270
к=12270:30
к=409
проверка
(12300-30):409=30
12270:409=30
30=30
б)(а+109)*13=6510
13а+109*13=6510
13а+1417=6510
13а=6510-1417
13а=5093
а=5093:13
а=391,77
проверка
(391,77+109)*13=6510
500,77*13=6510
6510=6510
d -(240*13)=1260
d -3120=1260
d=1260+3120
d=4380
проверка
4380-(240*13)=1260
4380-3120=1260
1260=1260
п+1240=1060*20
п+1240=21200
п=21200-1240
п=19960
проверка
19960+1240=1060*20
21200=21200
4,6(71 оценок)
Ответ:
OgoKatya
OgoKatya
29.12.2022
Березинский биосферный заповедник (1925) — заповедник, находящийся в северной части Беларуси на расстоянии 120 километров от Минска в направлении Санкт-Петербурга. Расположен на границе Витебской и Минской областей. Центр заповедника — в деревне Домжерицы Лепельского района. Создан для охраны и разведения редких видов животных, которые занесены в национальную Красную Книгу (первоначально создавался для охраны бобров[1]) и птиц. Входит во всемирную сеть биосферных заповедников ЮНЕСКО.В 1979 году Березинскому заповеднику был присвоен статус биосферного. Или Березинский заповедник - это крупнейший комплекс хвойных лесов, которые чередуются с верховыми и низинными болотами и поймами рек. Природные условия заповедника характеризуются нетронутыми лесами и большими сфагновыми болотами. Здесь сохранились уникальные в Европе болотные массивы, общая площадь которых составляет 50700 гектаров. В северной и центральной частях заповедника, более возвышенных, преобладают переходные и верховые болота, среди которых расположены покрытые сосновым лесом минеральные острова. В южной части заповедника находятся крупные массивы низинных болот (в том числе и вся пойма Березины). Среди лесов доминируют сосновые леса, образующие крупные массивы. Более половины хвойных лесов заболочены либо относятся к верховым и переходным болотам.
4,7(64 оценок)
Это интересно:
Новые ответы от MOGZ: Математика
logo
Вход Регистрация
Что ты хочешь узнать?
Спроси Mozg
Открыть лучший ответ