М
Молодежь
К
Компьютеры-и-электроника
Д
Дом-и-сад
С
Стиль-и-уход-за-собой
П
Праздники-и-традиции
Т
Транспорт
П
Путешествия
С
Семейная-жизнь
Ф
Философия-и-религия
Б
Без категории
М
Мир-работы
Х
Хобби-и-рукоделие
И
Искусство-и-развлечения
В
Взаимоотношения
З
Здоровье
К
Кулинария-и-гостеприимство
Ф
Финансы-и-бизнес
П
Питомцы-и-животные
О
Образование
О
Образование-и-коммуникации
lida113
lida113
14.06.2022 05:29 •  Математика

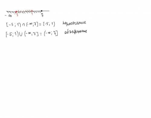
2. Изобразите на координатной прямой и запишите пересечение и объединение числовых промежутков: (- ∞; 2) и ​

👇
Ответ:
KatePie
KatePie
14.06.2022

Пошаговое объяснение:

Вот смотри отвечаю правильно


2. Изобразите на координатной прямой и запишите пересечение и объединение числовых промежутков: (- ∞
4,5(85 оценок)
Открыть все ответы
Ответ:
Анна121314151
Анна121314151
14.06.2022

АВСД - прямоугольник  ⇒   ∠А=∠В=∠С=∠Д=90° .

Так как МА⊥ пл. АВСД  ⇒  МА ⊥АВ , МА⊥АД , МА⊥АС.

Тогда треугольники АВМ , АДМ, АСМ, АДС, АДВ - прямоугольные , и к ним можно применить теорему Пифагора.

1)\; \; MB=\sqrt{AB^2+AM^2}=\sqrt{3^2+1^2}=\sqrt{10}2)\; \; MD=\sqrt{AD^2+AM^2}=\sqrt{4^2+1^2}=\sqrt{17}3)\; \; AC=\sqrt{AD^2+CD^2}=\sqrt{4^2+3^2}=54)\; \; BD=\sqrt{AD^2+AB^2}=\sqrt{4^2+3^2}=5\; ,\; \; AC=BD\; .

5)\; \; CM=\sqrt{AC^2+AM^2}=\sqrt{5^2+1^2}=\sqrt{26}6)\; \; S(MAC)=\frac{1}{2}\cdot AC\cdot AM=\frac{1}{2}\cdot 5\cdot 1=2,5

Пошаговое объяснение:

4,8(99 оценок)
Ответ:
melnikovao197
melnikovao197
14.06.2022

АВСД - прямоугольник  ⇒   ∠А=∠В=∠С=∠Д=90° .

Так как МА⊥ пл. АВСД  ⇒  МА ⊥АВ , МА⊥АД , МА⊥АС.

Тогда треугольники АВМ , АДМ, АСМ, АДС, АДВ - прямоугольные , и к ним можно применить теорему Пифагора.

1)\; \; MB=\sqrt{AB^2+AM^2}=\sqrt{3^2+1^2}=\sqrt{10}2)\; \; MD=\sqrt{AD^2+AM^2}=\sqrt{4^2+1^2}=\sqrt{17}3)\; \; AC=\sqrt{AD^2+CD^2}=\sqrt{4^2+3^2}=54)\; \; BD=\sqrt{AD^2+AB^2}=\sqrt{4^2+3^2}=5\; ,\; \; AC=BD\; .

5)\; \; CM=\sqrt{AC^2+AM^2}=\sqrt{5^2+1^2}=\sqrt{26}6)\; \; S(MAC)=\frac{1}{2}\cdot AC\cdot AM=\frac{1}{2}\cdot 5\cdot 1=2,5

Пошаговое объяснение:

4,4(3 оценок)
Это интересно:
Новые ответы от MOGZ: Математика
logo
Вход Регистрация
Что ты хочешь узнать?
Спроси Mozg
Открыть лучший ответ