М
Молодежь
К
Компьютеры-и-электроника
Д
Дом-и-сад
С
Стиль-и-уход-за-собой
П
Праздники-и-традиции
Т
Транспорт
П
Путешествия
С
Семейная-жизнь
Ф
Философия-и-религия
Б
Без категории
М
Мир-работы
Х
Хобби-и-рукоделие
И
Искусство-и-развлечения
В
Взаимоотношения
З
Здоровье
К
Кулинария-и-гостеприимство
Ф
Финансы-и-бизнес
П
Питомцы-и-животные
О
Образование
О
Образование-и-коммуникации
ARTMASS
ARTMASS
25.08.2021 15:11 •  Математика

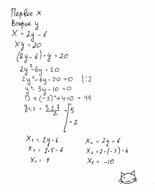
Знайти два натуральних числа,якщо відомо,що перше на 6 менше подвоєнего другого,а їх добуток дорівнює 20.

👇
Ответ:
lerapashina03
lerapashina03
25.08.2021
Решение на картинке :)
_
Знайти два натуральних числа,якщо відомо,що перше на 6 менше подвоєнего другого,а їх добуток дорівню
4,7(30 оценок)
Открыть все ответы
Ответ:
sashashola
sashashola
25.08.2021
а) 38*(-3) - (-24) * (-4) + (-16) * (-30) =270
1) 38*(-3)= -114;  2) (-24) * (-4)=96;  
3)  (-16) * (-30)=480; 4) -114-96= -210;  5)-210+480=270
б) (-2,8 + 6,1 - 3,4 + 6,2) * (-3,4)  = - 20,74
1) -2,8 + 6,1=3,3; 2) 3,3-3,4= -0,1; 
3) -0,1+6,2=6,1; 4)6,1*(-3,4)=-20,74
в) (4,3 - 7,8) * (-5,6 + 8,3) = - 9,45
1)(4,3 - 7,8)= - 3,5; 2)(-5,6 + 8,3)=2,7; 
3)(-3,5)*2,7= - 9,45
г) (-3 1/3 + 2 5/6) * (-8 5/9 + 7 2/9)=2/3
1) (-3 1/3 + 2 5/6)=-1/2; 2)  (-8 5/9 + 7 2/9)=(-1 1/3); 
3)-1/2*(-1 1/3)=2/3
д) 1 1/3 * (-3/4) - (-2 1/7) * 1 2/5=2
1) 1 1/3 * (-3/4)=-1; 2)(-2 1/7) * 1 2/5=(-3); 3)-1 - (-3)=2
е)  5/6 * (-15,3 - 24,3 * 5/9)= 5/6*(-28,8)=24
4,4(34 оценок)
Ответ:
alinana554
alinana554
25.08.2021
Для яблок.
Поставить на одну чашу весов гирю в 5 кг и в 3 кг, на другую чашу гирю в 2 кг и на нее класть яблоки до тех пор, пока чаши не сравняются. Тогда яблок будет 6 кг
5кг(гирЯ)+3кг(гиря)=2кг(гиря)+6кг(яблок)
Для муки:
Поставить на одну чашу весов гирю в 5 кг и в 2кг, на другую чашу гирю в 3 кг и на нее сыпать муку до тех пор, пока чаши не сравняются. Тогда муки будет 4 кг
Поставить на одну чашу весов гирю в 5 кг и в 3 кг, на другую чашу гирю в 2 кг и на нее класть яблоки до тех пор, пока чаши не сравняются. Тогда яблок будет 6 кг
5+3=2+6
Для муки:
Поставить на одну чашу весов гирю в 5 кг и в 2кг, на другую чашу гирю в 3 кг и на нее сыпать муку до тех пор, пока чаши не сравняются. Тогда муки будет 4 кг
5кг(гиря)+2кг(гиря)=3кг(гиря)+4кг(муки)
4,6(26 оценок)
Это интересно:
Новые ответы от MOGZ: Математика
logo
Вход Регистрация
Что ты хочешь узнать?
Спроси Mozg
Открыть лучший ответ