М
Молодежь
К
Компьютеры-и-электроника
Д
Дом-и-сад
С
Стиль-и-уход-за-собой
П
Праздники-и-традиции
Т
Транспорт
П
Путешествия
С
Семейная-жизнь
Ф
Философия-и-религия
Б
Без категории
М
Мир-работы
Х
Хобби-и-рукоделие
И
Искусство-и-развлечения
В
Взаимоотношения
З
Здоровье
К
Кулинария-и-гостеприимство
Ф
Финансы-и-бизнес
П
Питомцы-и-животные
О
Образование
О
Образование-и-коммуникации
mmhhmuraad
mmhhmuraad
23.01.2020 16:59 •  Математика

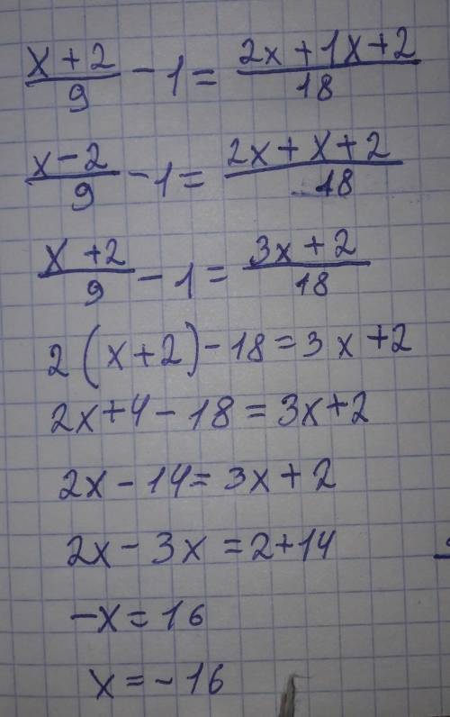
.Решите уравнение: .Решите уравнение: .Решите уравнение: .Решите уравнение: .Решите уравнение: .Решите уравнение: .Решите уравнение: .Решите уравнение: .Решите уравнение: .Решите уравнение: .Решите уравнение: .Решите уравнение: .Решите уравнение: .Решите уравнение: .Решите уравнение: ​


.Решите уравнение: .Решите уравнение: .Решите уравнение: .Решите уравнение: .Решите уравнение: .Реши

👇
Ответ:
vladosik1885
vladosik1885
23.01.2020

всё на фото☆☆☆☆☆☆☆☆☆☆☆


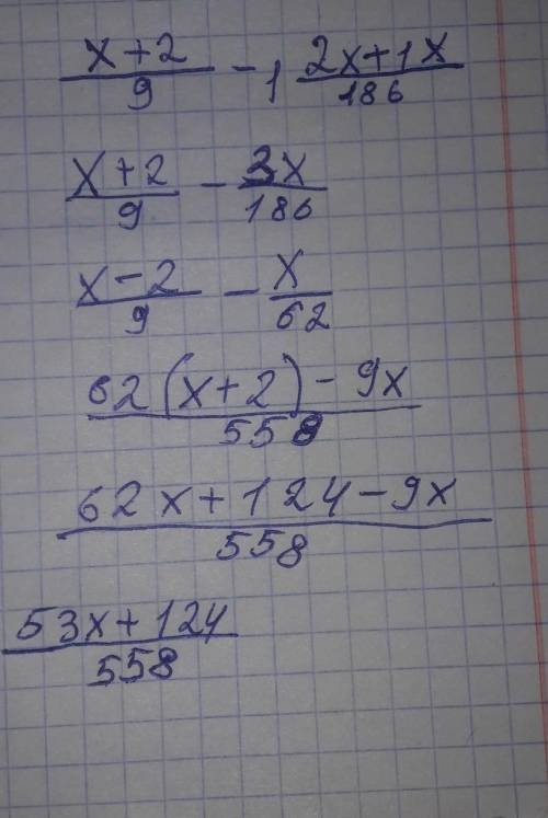
.Решите уравнение: .Решите уравнение: .Решите уравнение: .Решите уравнение: .Решите уравнение: .Реши
.Решите уравнение: .Решите уравнение: .Решите уравнение: .Решите уравнение: .Решите уравнение: .Реши
4,6(26 оценок)
Открыть все ответы
Ответ:
parknariya
parknariya
23.01.2020
У одного охотника появился лебедь, Приемыш. К нему пришёл его друг, и Тарас рассказал про Приемыша. У него не было семьи. Приемыш и Соболько очень хорошо ладили, играли всегда вместе даже у берега. Если Приемышь отплыл Соболько сидит и грустить. Однажды Приемыш вырас и он покинул дом Тараса. Стадо лебедей взлетели очень очень высоко. И Собольке стало грустно. На следующий день к нему пришёл его друг, Тарас сказал ему: Помнишь лебедя моего? А это Приемышь то? Да именно он. А что случилось? Он покинул наши дом и улетел со своей стаеей друзей! 
4,4(60 оценок)
Ответ:
svsand
svsand
23.01.2020
1= 1) Отравление ядовитыми, несъедобными веществами (например, грибами, ягодами);
2) Отравление съедобными продуктами, которые вследствие каких-либо причин содержат большое количество токсичных бактерий. Эта группа наиболее распространена.

Человек может заразиться через воду и пищу, содержащую вредоносные микроорганизмы. Часто отравление вызывают грязные фрукты и ягоды, сырая вода и молоко, испорченные кисломолочные продукты. Сальмонеллез может возникать из-за потребления испорченного мяса, яиц, немытых овощей и зелени.
2=
Причиной пищевого отравления может стать употребление непригодных продуктов, ядовитых грибов или трав, или же продуктов, которые в определенных условиях стали ядовитыми (например, позеленевший картофель). Кроме того, отравиться можно и теми продуктами, которые содержат высокое количество солей тяжелых металлов или токсичных химических элементов. Симптомы пищевого отравления:

тошнота, рвота;диарея;боль в животе;повышенная температура тела;пониженное артериальное давление;учащенное сердцебиение;судороги мышц;обморок.

3=1) Выполнять правила личной гигиены.

2) Готовить, принимать, хранить пищу и курить - только в специально отведенных для этого местах (но ни в коем случае не на рабочем месте!).

3) В рабочих помещениях должны быть устранены все источники воспламенения: открытое пламя, раскаленные поверхности, искры от электронагревателей. Обязательна защита от статического электричества.

4) Помещения, в которых проводятся работы с вредными веществами, должны быть оснащены общей приточно-вытяжной вентиляцией, а в особых случаях - и местной вентиляцией.

5) Работы с вредными веществами нужно проводить в вытяжном шкафу при действующей приточно-вытяжной вентиляции.

6) Обязательно пользоваться средствами индивидуальной защиты: перчатками, респираторами, очками и т.п.

7=Очищать продукты и тщательно мыть руки.Правильно хранит продукты.Разморажитвать.Готовить при правельной температуре.Держать холодильник в чистоте.

P.s Все что смог,удачи!
4,7(66 оценок)
Новые ответы от MOGZ: Математика
logo
Вход Регистрация
Что ты хочешь узнать?
Спроси Mozg
Открыть лучший ответ