М
Молодежь
К
Компьютеры-и-электроника
Д
Дом-и-сад
С
Стиль-и-уход-за-собой
П
Праздники-и-традиции
Т
Транспорт
П
Путешествия
С
Семейная-жизнь
Ф
Философия-и-религия
Б
Без категории
М
Мир-работы
Х
Хобби-и-рукоделие
И
Искусство-и-развлечения
В
Взаимоотношения
З
Здоровье
К
Кулинария-и-гостеприимство
Ф
Финансы-и-бизнес
П
Питомцы-и-животные
О
Образование
О
Образование-и-коммуникации
DOMINOSHKAWWWRU
DOMINOSHKAWWWRU
19.03.2021 16:53 •  Математика

А). у какого положительного числа модуль равен 2.11 ? б). у какого отрицательного числа модуль равен 4.03 ? в). назовите числа, модуль которых равен 7.15 ? .

👇
Ответ:
dashamaer2
dashamaer2
19.03.2021
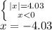
\left \{ {{|x|=2.11} \atop {x0}} \right. 
\\\
x=2.11
ответ: 2,11
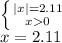
\left \{ {{|x|=4.03} \atop {x<0}} \right. &#10;\\\&#10;x=-4.03
ответ: -4,03
|x|=7.15&#10;\\\&#10;x=\pm7.15
ответ: 7,15 и -7,15
4,6(73 оценок)
Ответ:
Killerman68
Killerman68
19.03.2021
A) у числа 2,11 ; |2,11|=2,11
б) у числа  -4, 03 ; |-4,03|=4,03
в) это числа 7,15 и -7,15. |7,15|=7,15  и| -7,15|=7,15.
4,4(32 оценок)
Открыть все ответы
Ответ:
стланка
стланка
19.03.2021
усть Х км/ч-собственная скорость катера, а У км/ч скорость реки. Скорость катера по течению составляет(х+у)км/ч, а скорость катера против течения-(х-у)км/ч. За 2 часа по озеру катер проплывает 2х км, а плот за 15 часов проплывает по реке 15у км. Эти расстояния равны между собой. Против течения реки за 6 часов катер х-у)км, а по течению за 4 часа-4(х+у). Разница между расстоянием против течения и расстоянием по течению реки составила 6(х-у)-4(х+у)или 10 км. Составим и решим систему уравнений:2х=15у6(х-у)-4(х+у)=10 х=15у:26х-6у-4х-4у=10 х=7,5у2х-10у=10 х=7,5у2*7,5у-10у=10 х=7,5у15у-10у=10 х=7,5у5у=10 х=7,5уу=10:5 х=7,5уу=2 х=7,5*2у=2 х=15у=2 ответ: собственная скорость катера 15 км/ч. 
4,7(55 оценок)
Ответ:

На сторонах AB и BC треугольника ADC взяты точки D и E соответственно так, что AD:BD = 1:2 и CE:BE = 2:1. Отрезки AE и CD пересекаются в точке O. Найти площадь треугольника ABC, если площадь треугольника BCO равна 1. 

Рассмотрим ∆ АВЕ.

По т Менелая (ВD:DA)•(AO:OE)•(CE:CB)=1

2/1•(AO:OE)•2/3=1, откуда АО:ОЕ=3:4

ОЕ делит ВС в отношении 1:2, считая от В.

Высота ∆ СОЕ и ∆ СОВ общая.

Отношение площадей треугольников с равными высотами равно отношению их оснований. СЕ:СВ=2/3⇒

Ѕ(ВОС)=1, значит, Ѕ(СОЕ)=2/3

В ∆ АСЕ отрезок СО делит АЕ в отношении 3:4, считая от А.

Высота ∆ АСЕ и ∆ СОЕ, проведенная из вершины С, общая.

Тогда Ѕ(САЕ)=2/3:4•7=7/6

Высота ∆ АВС и ∆ АСЕ общая.⇒

Ѕ АВС=Ѕ(АСЕ):2•3=(7/6):2•3=7/4

Пошаговое объяснение:

4,7(33 оценок)
Это интересно:
Новые ответы от MOGZ: Математика
logo
Вход Регистрация
Что ты хочешь узнать?
Спроси Mozg
Открыть лучший ответ