М
Молодежь
К
Компьютеры-и-электроника
Д
Дом-и-сад
С
Стиль-и-уход-за-собой
П
Праздники-и-традиции
Т
Транспорт
П
Путешествия
С
Семейная-жизнь
Ф
Философия-и-религия
Б
Без категории
М
Мир-работы
Х
Хобби-и-рукоделие
И
Искусство-и-развлечения
В
Взаимоотношения
З
Здоровье
К
Кулинария-и-гостеприимство
Ф
Финансы-и-бизнес
П
Питомцы-и-животные
О
Образование
О
Образование-и-коммуникации
welouk
welouk
24.12.2020 23:15 •  Математика

1.Реши задачу. Запиши формулу, которую применил. [8]
Урожайность свеклы, собранной с поля площадью 8 га, равна 120 ц/га, а с поля 6 га - 95ц/га. Сколько
всего центнеров свеклы собрали с двух полей?
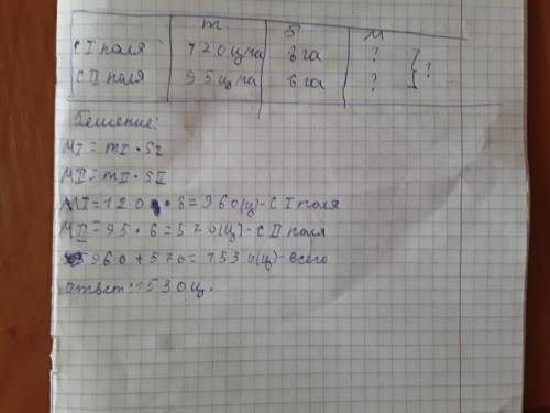
Урожайность ( m)
Площадь (S)
Весь урожай (M)
І поле
II полес .Таблицей с формулой ​

👇
Ответ:
Nastyalimelps13
Nastyalimelps13
24.12.2020

Пошаговое объяснение:


1.Реши задачу. Запиши формулу, которую применил. [8]Урожайность свеклы, собранной с поля площадью 8
4,8(98 оценок)
Ответ:
Альтракас
Альтракас
24.12.2020
M=m•S
120•8=960(га)
95•6=570(га)
960+570=1.530(ц)
ответ: 1.530 центнеров свеклы собрали с двух полей
4,4(18 оценок)
Открыть все ответы
Ответ:
andreymatv2p0duh5
andreymatv2p0duh5
24.12.2020
Условие:
Длина = 25м                          Две строчки объединить одной
ширина = 24м                                       скобкой
постройки = 1/10 площади      отсюда → к скобке
Овощи = 1/4 площади            отсюда → к скобке
Фруктовые деревья = ? (кв.м)

Решение:
1) 25 * 24 = 600(кв.м) - площадь участка
2) 600 * 1/10 = 60(кв.м) - площадь под постройки
3) 600 * 1/4 = 150(кв.м) - площадь под овощами
4) 150 + 60 = 210(кв.м) занято постройками и овощами
4) 600 - 210 = 390(кв.м)
ответ: 310кв.м - площадь под фруктовыми деревьями.
4,4(12 оценок)
Ответ:
ghf8
ghf8
24.12.2020
Условие:
Длина = 25м                          Две строчки объединить одной
ширина = 24м                                       скобкой
постройки = 1/10 площади      отсюда → к скобке
Овощи = 1/4 площади            отсюда → к скобке
Фруктовые деревья = ? (кв.м)

Решение:
1) 25 * 24 = 600(кв.м) - площадь участка
2) 600 * 1/10 = 60(кв.м) - площадь под постройки
3) 600 * 1/4 = 150(кв.м) - площадь под овощами
4) 150 + 60 = 210(кв.м) занято постройками и овощами
4) 600 - 210 = 390(кв.м)
ответ: 310кв.м - площадь под фруктовыми деревьями.
4,8(60 оценок)
Новые ответы от MOGZ: Математика
logo
Вход Регистрация
Что ты хочешь узнать?
Спроси Mozg
Открыть лучший ответ