М
Молодежь
К
Компьютеры-и-электроника
Д
Дом-и-сад
С
Стиль-и-уход-за-собой
П
Праздники-и-традиции
Т
Транспорт
П
Путешествия
С
Семейная-жизнь
Ф
Философия-и-религия
Б
Без категории
М
Мир-работы
Х
Хобби-и-рукоделие
И
Искусство-и-развлечения
В
Взаимоотношения
З
Здоровье
К
Кулинария-и-гостеприимство
Ф
Финансы-и-бизнес
П
Питомцы-и-животные
О
Образование
О
Образование-и-коммуникации
gurulezz1257
gurulezz1257
17.12.2021 10:55 •  Математика

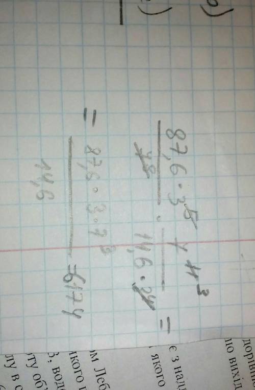
Выполни преобразования и затем вычисли: 87,6d5p8⋅p1114,6d4.

Известно, что d=3, p=7.

ответ:
.​


Выполни преобразования и затем вычисли: 87,6d5p8⋅p1114,6d4.Известно, что d=3, p=7.ответ: .​

👇
Ответ:
nastunya22
nastunya22
17.12.2021

6174

Пошаговое объяснение:

все на фото показано


Выполни преобразования и затем вычисли: 87,6d5p8⋅p1114,6d4.Известно, что d=3, p=7.ответ: .​
4,5(38 оценок)
Открыть все ответы
Ответ:
Предметы интерьера



Бронзовые бюсты

Декоративные полки

Детали каминов

Интерьерные фонтаны

Металлические рамки

Сантехника

Светильники

Элементы лестниц

Декоративные вентиляционные решетки

Электроустановочные изделия

Церковная утварь



Иконы

Лампады

Накладки и замки на книги

Православные кресты

Церковные книги



Главная » Статьи » Изделия из бронзы и латуни

Изделия из бронзы и латуни

11.10.2010

Бронзовые изделия с давних времен используются в качестве украшений для домов и рабочих кабинетов. Не менее популярными для заказа в последнее время стали изящные статуэтки и другие предметы из латуни. Подчеркнуть вашу верность традициям и создать атмосферу семейного уюта такие бронзовые сувениры, как:

вазы;часы;ордена;медали;вешалки;шкатулки;подсвечники;ложки для обуви;каминные наборы из бронзовых изделий;конфетницы, фруктовницы и т. д.В литейной мастерской «Калежа» вы всегда можете заказать производство изделий из бронзы и других надежных материалов. Мы предлагаем купить качественные современные товары, которые позволяют сохранить эстетику былых времен. Такая работа требует глубоких знаний традиций производства и безупречного вкуса самих специалистов. Готовые сувениры из бронзы и латуни придутся по душе даже самым взыскательным клиентам.
4,5(20 оценок)
Ответ:
matematuk007
matematuk007
17.12.2021
Беҙҙең алда картина Т. Н. Яблонски "Утро". Унда рәссам изобразить утро кыҙҙар. Бүлмә наполен яҡты солнечный уты. Нурҙары һүнеп китеү утреннего ҡояш освещают юныу героин картиналар ҙа окружает уның был бүлмәлә.Алғы планда һүрәтләнгән түңәрәк өстәл, ә унда иртәнге аш әҙер: икмәк " тарелка, май, кувшин менән һөт.Картинаның үҙәгендә күрәбез ҡыҙҙы, делаю зарядкаһын яһанылар, ә һуңынан ул дауам итһә, мәктәпкә, сөнки затем планда картиналар ултырғыс тора, ә унда мәктәп формаһы пионер һәм галстукты. Артта кыҙҙар, тағы назаратында һуң йоҡо постель, пухова одеялом һәм подушкой.Был бедно-желтой диуарында эленеп тора декоративная тарелка менән роспись гжель-ҡош-ҡорт. Араһында дәрәжәле тибындағы боронғо эленеп тора кашпо. Цветочки һәм листочки сәсәктәр перепись һәм образуют матур ғөрөф-ғәҙәт йәшел арко.Ишек асыҡ балкон. Менән урамдар-һыу бүлмәһе наполнится звуки, буяулы һәм күтәренке кәйеф менән утреннего ҡала.Картина яҡты, радостная. Миңә ул ошады. Һинең кеүек башланасак һинең тәүге көнө шулай буйлап узачак
4,7(17 оценок)
Новые ответы от MOGZ: Математика
logo
Вход Регистрация
Что ты хочешь узнать?
Спроси Mozg
Открыть лучший ответ