М
Молодежь
К
Компьютеры-и-электроника
Д
Дом-и-сад
С
Стиль-и-уход-за-собой
П
Праздники-и-традиции
Т
Транспорт
П
Путешествия
С
Семейная-жизнь
Ф
Философия-и-религия
Б
Без категории
М
Мир-работы
Х
Хобби-и-рукоделие
И
Искусство-и-развлечения
В
Взаимоотношения
З
Здоровье
К
Кулинария-и-гостеприимство
Ф
Финансы-и-бизнес
П
Питомцы-и-животные
О
Образование
О
Образование-и-коммуникации
jroslov
jroslov
30.12.2020 02:26 •  Математика

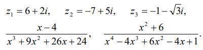
Очень нужна с выщой математикой, сделайте хотя б одно или два задания


Очень нужна с выщой математикой, сделайте хотя б одно или два задания
Очень нужна с выщой математикой, сделайте хотя б одно или два задания

👇
Открыть все ответы
Ответ:
EminAkid
EminAkid
30.12.2020
Периметр прямоугольник - сумма всех его сторон. Значит, так как у прямоугольника противоположные стороны равны, условно можно их отметить как a и b.
a + b + a + b - периметр прямоугольника. По другому можно написать как
2*a + 2*b. Еще можно записать как 2*(a+b). Самый последний лучший, так как он самый короткий и удобный.
Периметр квадрата - сумма всех его сторон. Всего его стороны одинаковы, значит условно одну сторону можно обозначить как a.
a + a + a + a - периметр квадрата. По другому можно записать как 4*a. Второй лучше, так как короче и удобней.
4,5(90 оценок)
Ответ:
irinabal
irinabal
30.12.2020
Периметр прямоугольник - сумма всех его сторон. Значит, так как у прямоугольника противоположные стороны равны, условно можно их отметить как a и b.
a + b + a + b - периметр прямоугольника. По другому можно написать как
2*a + 2*b. Еще можно записать как 2*(a+b). Самый последний лучший, так как он самый короткий и удобный.
Периметр квадрата - сумма всех его сторон. Всего его стороны одинаковы, значит условно одну сторону можно обозначить как a.
a + a + a + a - периметр квадрата. По другому можно записать как 4*a. Второй лучше, так как короче и удобней.
4,5(36 оценок)
Это интересно:
Новые ответы от MOGZ: Математика
logo
Вход Регистрация
Что ты хочешь узнать?
Спроси Mozg
Открыть лучший ответ