М
Молодежь
К
Компьютеры-и-электроника
Д
Дом-и-сад
С
Стиль-и-уход-за-собой
П
Праздники-и-традиции
Т
Транспорт
П
Путешествия
С
Семейная-жизнь
Ф
Философия-и-религия
Б
Без категории
М
Мир-работы
Х
Хобби-и-рукоделие
И
Искусство-и-развлечения
В
Взаимоотношения
З
Здоровье
К
Кулинария-и-гостеприимство
Ф
Финансы-и-бизнес
П
Питомцы-и-животные
О
Образование
О
Образование-и-коммуникации
babka5
babka5
15.05.2020 06:39 •  Математика

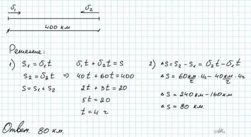
Из двух го­ро­дов од­но­вре­мен­но нав­стре­чу друг другу вы­еха­ли два ав­то­мо­би­ля. Один ехал со ско­ро­стью 40 км/ч, дру­гой — со ско­ро­стью 60 км/ч. На сколь­ко ки­ло­мет­ров боль­ше про­ехал вто­рой ав­то­мо­биль до места их встре­чи, если рас­сто­я­ние между го­ро­да­ми 400 км? За­пи­ши­те ре­ше­ние и ответ​

👇
Ответ:
anyanice7
anyanice7
15.05.2020

второй проехал на 80 км больше

Пошаговое объяснение:

) 40 + 60 = 100 км/ч - скорость сближения

2) 400 : 100 = 4 ч - были в пути

3) 40 * 4 = 160 км - проехал первый

4) 60 * 4 = 240 км - проехал второй

5) 240 - 160 = 80 км

4,7(54 оценок)
Ответ:
elizaveta08071999
elizaveta08071999
15.05.2020

Решено

Пошаговое объяснение:


Из двух го­ро­дов од­но­вре­мен­но нав­стре­чу друг другу вы­еха­ли два ав­то­мо­би­ля. Один ехал со
4,8(12 оценок)
Открыть все ответы
Ответ:
2047liza
2047liza
15.05.2020

ответ: 5/12.

Что такое, собственно говоря, вероятность? Это отношение благоприятных исходов ко всем исходом.

Рассмотрим первую урну. Благоприятный исход - это достать любой из десяти желтых шаров. А всего исходов   8 + 10 = 18. Следовательно, здесь вероятность равна  10/18 = 5/9.

Сделаем тоже самое со второй урной. Тут отношение будет равно  12/(12 + 4) = 12/16 = 3/4.

А теперь, чтобы найти вероятность, что попадется два одинаковых желтых шара, необходимо перемножить полученные результаты:

(5/9) * (3/4) = 15/36 = 5/12.

4,7(48 оценок)
Ответ:
nataliyadydina
nataliyadydina
15.05.2020
Наименьший положительный и отличный от единицы делитель составного числа a не превосходит √а
√2563=50,63
Ищем делители числа 2563 среди простых чисел меньших 50:
2,3,5,7,11,13,17,19,23,29,31,37,41,43,47
Используем признаки делимости:
2563 - нечетное, на 2 не делится
сумма цифр равна 2+5+6+3=16; 1+6=7 - не делится на 3
не оканчивается на 5 или 0 - на 5 не делится
256-3*2=250 - не делится на 7
Число делится на 11, если сумма цифр, которые стоят на четных местах равна сумме цифр, стоящих на нечетных местах, либо отличается от неё на 11: 2+6 = 5+3 - делится на 11

Так как данное число имеет делитель 11, то оно составное.
4,6(29 оценок)
Это интересно:
Новые ответы от MOGZ: Математика
logo
Вход Регистрация
Что ты хочешь узнать?
Спроси Mozg
Открыть лучший ответ