М
Молодежь
К
Компьютеры-и-электроника
Д
Дом-и-сад
С
Стиль-и-уход-за-собой
П
Праздники-и-традиции
Т
Транспорт
П
Путешествия
С
Семейная-жизнь
Ф
Философия-и-религия
Б
Без категории
М
Мир-работы
Х
Хобби-и-рукоделие
И
Искусство-и-развлечения
В
Взаимоотношения
З
Здоровье
К
Кулинария-и-гостеприимство
Ф
Финансы-и-бизнес
П
Питомцы-и-животные
О
Образование
О
Образование-и-коммуникации
kazakstanarmy
kazakstanarmy
24.07.2020 19:46 •  Математика

10 4.
Какие выражения решал Арман, если он записал их
по действиям?
6)
1) 3 467 589 - 1 000 879
2) 9 087 761 - 9087 751
3) 2 466 710 : 10
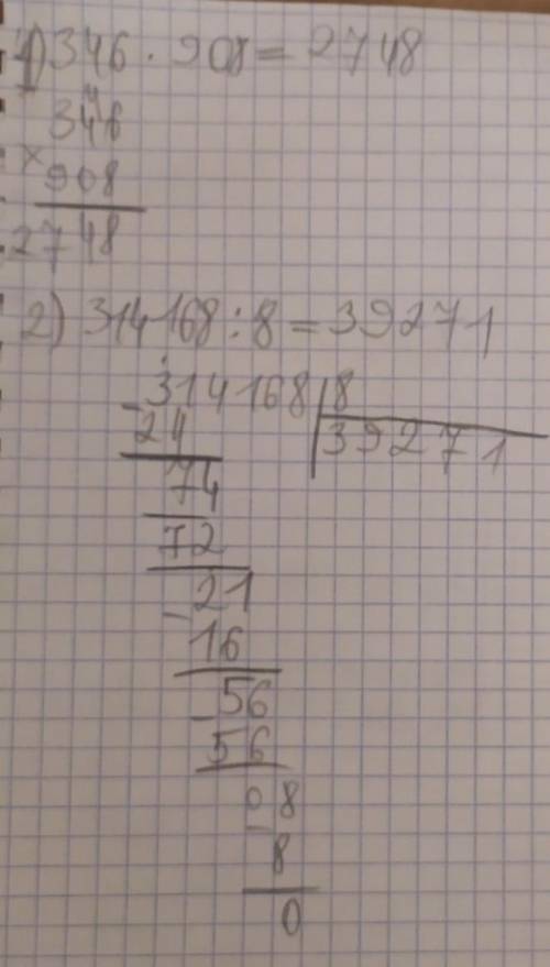
1) 346.908
2) 314 168:8
3) 39 271 + 8 809 347
10
Можете фоткой отправить и столбиком


10 4. Какие выражения решал Арман, если он записал их по действиям? 6) 1) 3 467 589 - 1 000 879 2) 9

👇
Ответ:
Котмяумяу
Котмяумяу
24.07.2020

Пошаговое объяснение:

.......................


10 4. Какие выражения решал Арман, если он записал их по действиям? 6) 1) 3 467 589 - 1 000 879 2) 9
10 4. Какие выражения решал Арман, если он записал их по действиям? 6) 1) 3 467 589 - 1 000 879 2) 9
10 4. Какие выражения решал Арман, если он записал их по действиям? 6) 1) 3 467 589 - 1 000 879 2) 9
4,5(16 оценок)
Открыть все ответы
Ответ:
MAXIMUS111111111
MAXIMUS111111111
24.07.2020
Правило следующее: первое число это из таблицы умножения на 7 по порядку - 28, 35, 42, значит следующие 49, 56, 63. Делитель остается неизменным 7. А множитель расположен в порядке убывания на 1: 6, 5, 4, а значит следующие 3, 2, 1 
28:7*6=24
35:7*5=25
42:7*4=24
49:7*3=21
56:7*2=16
63:7*1=9

Здесь правило следующее разность представляет собой цифры в порядке возрастания  3, 4, 5, значит следующие 6, 7, 8, при этом они сформированы по правилу разности уменьшения десятков. Множитель расположен в порядке убывания 9, 8, 7, значит следующие 6, 5, 4
(73-70)*9=3*9=27
(64-60)*8=4*8=32
(55-50)*7=5*7=35
(46-40)*6=6*6=36
(37-30)*5=7*5=35
(28-20)*4=8*4=32
4,5(88 оценок)
Ответ:
Аружан200345
Аружан200345
24.07.2020

 22-7= 93-4=  28+9= 32-7 = 73-4= 38+9= 42-7 = 53-4= 48+9=:                                                                       22-7=15             33-4=29                  28+9=37                                                                                                                                                         32-7=25              43-4=39                 38+9=47                                                                                                                                             42-7=35             53-4=49                  48+9=57                                                                                                                                                        52-7=45              63-4=59                 58+9=67                                                                                                                                          62-7=55              73-4=69                 68+9=77                  

4,5(1 оценок)
Это интересно:
Новые ответы от MOGZ: Математика
logo
Вход Регистрация
Что ты хочешь узнать?
Спроси Mozg
Открыть лучший ответ