М
Молодежь
К
Компьютеры-и-электроника
Д
Дом-и-сад
С
Стиль-и-уход-за-собой
П
Праздники-и-традиции
Т
Транспорт
П
Путешествия
С
Семейная-жизнь
Ф
Философия-и-религия
Б
Без категории
М
Мир-работы
Х
Хобби-и-рукоделие
И
Искусство-и-развлечения
В
Взаимоотношения
З
Здоровье
К
Кулинария-и-гостеприимство
Ф
Финансы-и-бизнес
П
Питомцы-и-животные
О
Образование
О
Образование-и-коммуникации
BLACK2IVAN
BLACK2IVAN
14.05.2021 01:30 •  Математика

Люди решите 2 примера(не коротко)
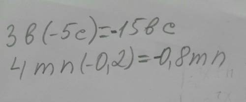
1: 3b*(-5c)
2: 4mn*(-0.2

👇
Ответ:
TrinanenkoJulia
TrinanenkoJulia
14.05.2021

другого решения и нет на фотографии


Люди решите 2 примера(не коротко) 1: 3b*(-5c) 2: 4mn*(-0.2
4,7(53 оценок)
Открыть все ответы
Ответ:
Два пешехода вышли одновременно навстречу друг другу из двух пунктов, расстояние между которых 5 км. Скорость первого пешехода составляла 2/3 скорости второго. Найдите скорости каждого пешехода, если они встретились через полчаса.

Пусть скорость второго пешехода V2 = Х км/ч

Тогда скорость первого V1 = 2/3 V2 = 2/3 Х км/ч

S = V * T

Всего расстояние S = 5 км, шли пешеходы T = 1/2 часа, следовательно

(2/3 Х + Х) / 2 = 5

2/6 Х + 1/2 Х = 5

2/6 Х + 3/6 Х = 5

5/6 Х = 5

Х = 6 км/ч

То есть, скорость первого пешехода равна 2/3 Х = 4 км/ч, а скорость второго пешехода равна 6 км/ч.

Что и требовалось определить!
4,8(11 оценок)
Ответ:
christihhh75
christihhh75
14.05.2021
Два пешехода вышли одновременно навстречу друг другу из двух пунктов, расстояние между которых 5 км. Скорость первого пешехода составляла 2/3 скорости второго. Найдите скорости каждого пешехода, если они встретились через полчаса.

Пусть скорость второго пешехода V2 = Х км/ч

Тогда скорость первого V1 = 2/3 V2 = 2/3 Х км/ч

S = V * T

Всего расстояние S = 5 км, шли пешеходы T = 1/2 часа, следовательно

(2/3 Х + Х) / 2 = 5

2/6 Х + 1/2 Х = 5

2/6 Х + 3/6 Х = 5

5/6 Х = 5

Х = 6 км/ч

То есть, скорость первого пешехода равна 2/3 Х = 4 км/ч, а скорость второго пешехода равна 6 км/ч.

Что и требовалось определить!
4,8(74 оценок)
Это интересно:
Новые ответы от MOGZ: Математика
logo
Вход Регистрация
Что ты хочешь узнать?
Спроси Mozg
Открыть лучший ответ