

Задание по математике ,поэтому в физику не углубляемся.
Перед отправкой (то есть, когда скорость тепловоза была равна 0) частота гудка была равна f(0)=440 Гц.
Из-за эффекта Доплера частота гудка становится больше, зависит это от скорости тепловоза.
По условию,частота гудка может отличаться не более,чем на 10 Гц (иначе,человек не услышит гудок).
Нам надо найти скорость,с которой тепловоз должен приближаться к платформе,если человек смог различать сигнал тепловоза.
Рассчитывается по формуле,данной ниже (далее идут просто расчёты).
Подставляем все известные данные в формулу и находим минимальную скорость тепловоза.
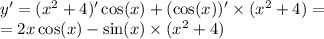
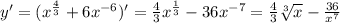
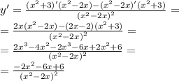
.
НОК(3;6) = 6
Объяснение:
разложим числа на простые множители.
сначала запишем разложение на множители самого большого число, а затем наименьшее число. подчеркнем в разложении меньшего числа множители, которые не вошли в разложение наибольшего числа
6 = 2 • 3
3 = 3
чтобы определить НОК, необходимо недостающие множители (эти множителей подчёркнуты) добавить множителя в большого числа и перемножить их:
НОК(3; 6) = 2 • 3 = 6
НОК(28; 9) = 252
Объяснение:
Разложим числа на простые множители.
Сначала запишем разложение на множители самого большого число, затем наименьшее число. Подчеркнем разложение меньшего числа множители, которые не вошли в разложение наибольшего числа.
28 = 2 • 2 • 7
9 = 3 • 3
Чтобы определить НОК, необходимо недостающие множители (эти множители подчёркнуты) добавить к множителям большого числа и перемножить их:
НОК(28; 9) = 2 • 2 • 7 • 3 • 3 = 252
НОК(15;20) = 60
Объяснение:
Разложим числа на простые множители.
Сначала запишем разложение на множители самого большого число, затем наименьшее число.
Подчеркнем в разложении меньшего числа множители, которые не вошли в разложение меньшего числа.
20 = 2 • 2 • 5
15 = 3 • 5
Чтобы определить НОК, необходимо недостающие множители (эти множители подчёркнуты) добавить к множителям большого числа и перемножить их:
НОК(15; 20) = 2 • 2 • 5 • 3 = 60
7
8
9
10
11
13