М
Молодежь
К
Компьютеры-и-электроника
Д
Дом-и-сад
С
Стиль-и-уход-за-собой
П
Праздники-и-традиции
Т
Транспорт
П
Путешествия
С
Семейная-жизнь
Ф
Философия-и-религия
Б
Без категории
М
Мир-работы
Х
Хобби-и-рукоделие
И
Искусство-и-развлечения
В
Взаимоотношения
З
Здоровье
К
Кулинария-и-гостеприимство
Ф
Финансы-и-бизнес
П
Питомцы-и-животные
О
Образование
О
Образование-и-коммуникации
nasty78ss
nasty78ss
03.07.2022 10:02 •  Математика

с решением, хотя бы с 2 примерами
Найти производную функции


с решением, хотя бы с 2 примерами Найти производную функции

👇
Ответ:
sagizovtoshtemi
sagizovtoshtemi
03.07.2022

1

( {e}^{x} + 1) '= e {}^{x}

2

( {e}^{x} + {x}^{2}) '= e {}^{x} + 2x

3

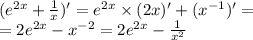
( {e}^{2x} + \frac{1}{ x } )' = e {}^{2x} \times (2x) '+ ( {x}^{ - 1} ) '= \\ = 2 {e}^{2x} - {x}^{ - 2} = 2 {e}^{2x} - \frac{1}{ {x}^{2} }

4

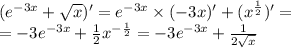
( {e}^{ - 3x} + \sqrt{x} ) '= {e}^{ - 3x} \times ( - 3x) '+ ( {x}^{ \frac{1}{2} } ) '= \\ = - 3 {e}^{ - 3x} + \frac{1}{2} {x}^{ - \frac{1}{2} } = - 3 {e}^{ - 3x} + \frac{1}{2 \sqrt{x} }

4,6(18 оценок)
Открыть все ответы
Ответ:
лербел
лербел
03.07.2022
1) Находим общую площадь площадки. Для этого дляну умножаем на ширину - 40х30=1200 см.кв. Находим чему равна 1/5 часть площадки для борцов. Для этого 1200 : 5 = 240 см.кв.  
2) После выгораживания площадки для борцов всего осталось площадки  960 см.кв. или ( 1200  - 240  = 960 (см.кв.) ).
3) По условию четвертая часть площадки отошла прыгунам. Находим, чему равна 1/4 часть от 960, для этого 960 : 4 = 240 (см.кв.). Сл-но, для прыгунов отгородили 240 см.кв. 
4) Зная сколько см.кв. от общей площадки отгородили для борцов и прыгунов, рассчитаем оставшуюся площадь для гимнастов. Для этого от 1200 - 240 - 240 = 720 (см.кв.)
ответ: для состязаний спортсменов Гулливер устроил площадку равную 1200 см.кв., из которой для борцов - 240 см.кв., для прыгунов - 240 см.кв. для гимнастов - 720 см. кв.
4,6(8 оценок)
Ответ:
Егорка156
Егорка156
03.07.2022
1)=3(ост.1)                                                                                                         2)=5(ост.1)                                                                                                         3)=2(ост.1)                                                                                                       4)=5(ост.2)                                                                                                         5)=10                                                                                                             6)=9(ост.2)                                                                                                         7)=2(ост.1)                                                                                                       8)=9                                                                                                               9)=9(ост.2)                                                                                                     10)=9                                                                                                           11)=2(ост.1)                                                                                                      12)=2(ост.1)                                                                                                       13)=29(ост.1)                                                                                                   14)=9                                                                                                               15)=2(ост.1)                                                                                                     16)=9                                                                                                             17)=9(ост.1)                                                                                                   18)=2(ост.1)                                                                                                     19)=1(ост.1)                                                                                                   20)=5                                                                                                               21)=10                                                                                                             22)=3(ост.2)                                                                                                   23)=2                                                                                                               24)=2                                                                                                               25)=7(ост.1)                                                                                                     26)=4(ост.7)                                                                                                     27)=5                           
4,5(52 оценок)
Это интересно:
Новые ответы от MOGZ: Математика
logo
Вход Регистрация
Что ты хочешь узнать?
Спроси Mozg
Открыть лучший ответ