
Пошаговое объяснение:
По условию необходимо найти f (1), значит, чтобы решить задание, необходимо вместо переменной x в формулу функции подставить ее числовое значение (1). Таким образом, получится выражение, не содержащее переменных, которое можно решить выполнив все допустимые действия.
Подставим (1) вместо переменной x в формулу функции:
f (1) = - 1^2 + 2 * 1 + 1.
Единица в любой степени всегда равна единице, а произведение какого-либо числа на единицу (положительную) равно этому же числу, следовательно:
f (1) = - 1 + 2 + 1 = 2.
ответ: f (1) = 2.
Пошаговое объяснение:
Пусть имеется 2 таблетки Х и 2 таблетки У.
Всего 4 таблетки и не определить где какая.
Только известно, что среди них есть две таблетки Х и две таблетки У.
Берём 1-ю таблетку, делим её пополам и кладём каждую половинку в разные кучки. В одной кучке получилось 1/2 таблетки Х (или У) и в другой кучке получаем 1/2 часть той же таблетки.
Далее:
Берём 2-ю таблетку и всё делаем то же самое: в 1-ю кучку 1/2 таблетки Х (или У) и во 2-ю такая же половина - 1/2 таблетки.
Далее:
С 3-й и 4-й таблетками делаем то же самое.
Получили:
В 1-й кучке: 0.5 Х + 0.5 Х + 0.5 У + 0.5 У = Х + У
То же самое получили во 2-й кучке: 0.5 Х + 0.5 Х + 0.5 У + 0.5 У = Х + У
Первую кучку выпить утром, а вторую вечером.
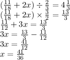
Пошаговое объяснение:
11/18+2х=13/3×2/3
11/18+2х=26/9
2х=52/18-11/18
2х=41/18
х=41/36=1 5/36