




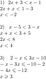
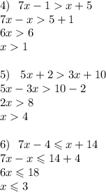
ответ:
1) люблю - 2 слога, 5 букв, 5 звуков.
[л'] - согласный, непарный звонкий, сонорный, парный мягкий
[у] - гласный
[б] - согласный, парный звонкий, парный твёрдый
[л] - согласный, непарный звонкий, сонорный, парный мягкий
[у] - гласный , ударный
2) грозу - 2 слога, 5 букв, 5 звуков.
[г] - согласный, парный звонкий, парный твёрдый
[р] - согласный, непарный звонкий, сонорный, парный твёрдый
[а] - гласный
[з] - согласный, парный звонкий, парный твёрдый
[у] - гласный , ударный
3) мая - 2 слога, 3 буквы, 4 звука.
[м] - согласный, непарный звонкий, сонорный, парный твёрдый
[а] - гласный , ударный
[й'] - согласный, непарный звонкий, сонорный, непарный мягкий
[а] - гласный
4) когда - 2 слога, 5 букв, 5 звуков.
[к] - согласный, парный глухой, парный твёрдый
[а] - гласный
[г] - согласный, парный звонкий, парный твёрдый
[д] - согласный, парный звонкий, парный твёрдый
[а] - гласный , ударный
5) гром - 1 слог, 4 букв, 4 звуков.
[г] - согласный, парный звонкий, парный твёрдый
[р] - согласный, непарный звонкий, сонорный, парный твёрдый
[о] - гласный , ударный
[м] - согласный, непарный звонкий, сонорный, парный твёрдый