М
Молодежь
К
Компьютеры-и-электроника
Д
Дом-и-сад
С
Стиль-и-уход-за-собой
П
Праздники-и-традиции
Т
Транспорт
П
Путешествия
С
Семейная-жизнь
Ф
Философия-и-религия
Б
Без категории
М
Мир-работы
Х
Хобби-и-рукоделие
И
Искусство-и-развлечения
В
Взаимоотношения
З
Здоровье
К
Кулинария-и-гостеприимство
Ф
Финансы-и-бизнес
П
Питомцы-и-животные
О
Образование
О
Образование-и-коммуникации
Чискейк
Чискейк
22.03.2021 23:03 •  Математика

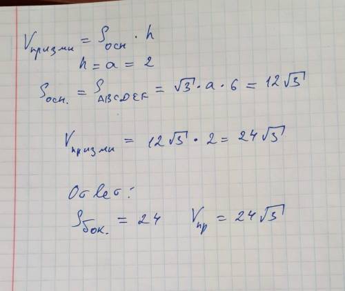
Боковыми гранями правильной шестиугольной призмы является квадраты , основания равна 2 см .Вычислите площадь боковой поверхности и объем призмы​

👇
Ответ:
lАндрей
lАндрей
22.03.2021

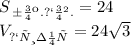
S_{ \: {бок.пов.}} = 24 \\ V_{призмы} = 24 \sqrt{3}

Пошаговое объяснение:

Дано: Правильная 6-угольная призма

ABCDEFA_1B_1C_1D_1E_1F_1

Далее - см. приложенный файл


Боковыми гранями правильной шестиугольной призмы является квадраты , основания равна 2 см .Вычислите
Боковыми гранями правильной шестиугольной призмы является квадраты , основания равна 2 см .Вычислите
4,4(53 оценок)
Открыть все ответы
Ответ:
AnnaGlyuza0436
AnnaGlyuza0436
22.03.2021
Сначала найдём производную:
y*=(x^2(1-x)^2)*=(x^2)*(1-x)^2+x^2((1-x)^2)*=2x(1-x)^2+x^2*2(1-x)*(1-x)*=2x(1-2x+x^2)+x^2(2-2x)*(-1)=2x-4x^2+2x^3-2x^2+2x^3=4x^3-6x^2+2x
Теперь то, что получилось (жирный шрифт) приравниваем к нулю и решаем:
4x^3-6x^2+2x=0
x(4x^2-6x+2)=0
x=0; 4x^2-6x+2=0
         2x^2-3x+1=0
         D=(-3)^2-4*2*1=1
         x1=1
         x2=0.5
Дальше строим ось X и отмечаем точки в порядке возрастания.
Надеюсь вам знаком метод интервалов.
в результате получается, что Xмин = 0 и 1, а Xмах=0,5
Теперь подставляем в исходное уравнение (y=x^2(1-x)^2)
Yнаим=Y(0)=0^2(1-0)^2=0
Yнаиб=Y(0.5)=0.5^2(1-0.5)^2=0.25*0.25=0.0625
ответ: Yнаим=0; Yнаиб=0,0625
4,6(65 оценок)
Ответ:
mainaalikuliev
mainaalikuliev
22.03.2021

Хм... тут много. Ладно как смогу.

1 задача]

2*x-750=x+350

2*x-x=350 + 750

x=1.100 т

2*x=2*1.100=2.220 (т)-в первом элеваторе.

ответ:В элеваторах было 2.220 и 1.110 тон зерна.

2 задача]

4x-1=5+x

4x-x=5+1

3x=6

x=2

5x-b=3.

5*2-b=3

-b=3-10

-b=-7, умножаем мы наобе части,на (-1)

b=7

Задача 3] Я не знаю как тут написать,смотри в объяснениях.

Задача 4 (СЛАВА БОГУ)]

1)100*60:100=60(кг)-ягод было отправлено в магазин.

2)60*11:100=6,6(кг)-ягод испортилось

3)60-6,6=53,4(кг)

ответ:53,4 кг было продано.

Пошаговое объяснение:

1 задача]

Запишем начальный вес зерна во втором элеваторе,как неизвестную массу - Х.

Посколько в первом было в 2 раза больше зерна,в нем находим 2*Х т.

После вывоза из первого (750 т) в нем стало:2*х-750,а во втором: х+350 т.

2 задача]

В первых 4-х выражений я немогу обьяснить.

В 6-ом вместо Х ставим 2.

3 задача] Для того,чтобв найти при каких значениях m и n управление (3m+5)x=4-2n НЕ имеет корней мы должны прежде всего вырпзим переменную X и затем начнем анализировать полученное выражение.

Мы делим на (3m + 5) обе части управления,получаем:

x = (4-2n)/(3m+5).

Теперь рассмотрим и анализируем полученное выражение.

В знаменателе дроби у нас находится переменая m. Мы должны найти то значение переменноц,которая будет обращать знаменателя в 0 — при этом значение уравнение НЕ будет иметь корней.

3m+5=0;

3m=-5;

m-1 2/3.

Переменная N может принимать ЛЮБОЕ значение.

4]Я не знаю как обьяснить ПС)Не ругай за ошибки

4,5(39 оценок)
Это интересно:
Новые ответы от MOGZ: Математика
logo
Вход Регистрация
Что ты хочешь узнать?
Спроси Mozg
Открыть лучший ответ