Вход
Регистрация
Спроси Mozg AI
М
Молодежь
К
Компьютеры-и-электроника
Д
Дом-и-сад
С
Стиль-и-уход-за-собой
П
Праздники-и-традиции
Т
Транспорт
П
Путешествия
С
Семейная-жизнь
Ф
Философия-и-религия
Б
Без категории
М
Мир-работы
Х
Хобби-и-рукоделие
И
Искусство-и-развлечения
В
Взаимоотношения
З
Здоровье
К
Кулинария-и-гостеприимство
Ф
Финансы-и-бизнес
П
Питомцы-и-животные
О
Образование
О
Образование-и-коммуникации
.....больше.....
..меньше..
nmh788
09.06.2020 09:56 •
Математика
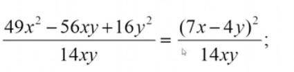
Почему при сокращении не учли 56ху? Взяли только квадрат 49 и 16 в итоге. А почему опустили 56???
👇
Увидеть ответ
Ответ:
dasika1
09.06.2020
потому что использовали формулу сокращённого умножения
4,6
(92 оценок)
Открыть все ответы
Ответ:
nikols7
09.06.2020
1)алгоритмом умножения многозначного числа на однозначное:
1) 387 * 6= 2 322
2) 3 087 * 60= 3087*10*6 = 185 220
3) 30 087 * 6= 180 522
4) 435 * 900=435 * 100 * 9 = 391 500
5) 4 035 * 90 = 4 035 * 10 * 9 = 363 150
6) 40 035 * 9 = 360 315
2) распределительным свойством умножения.
1) 387*6= (300 + 80 + 7) * 6 = 1 800 + 480 + 42 = 2322
2) 3 087*60= (3000 + 80 + 7) * 6 * 10 = (18000 + 480 + 42)* 10 = 185 220
3) 30 087*6= ( 30 000 + 80 + 7) * 6 = 180000 + 480 + 42 = 180 522
4) 435*900= ( 400 + 30 + 5) * 9 * 100 = (3600 + 270 +45) * 100 = 3915 *100 = 391 500
5) 4 035*90= (4000 + 30 + 5) * 9 * 10 = (36000 + 270 + 45)* 10 = 36315 * 10 = 363 150
6) 40 035*9= ( 40000 + 30 + 5) * 9 = 360 000 + 270 +45 =360 315
сравни полученные результаты
Результаты одинаковые.
4,5
(48 оценок)
Ответ:
kuzma71
09.06.2020
1)алгоритмом умножения многозначного числа на однозначное:
1) 387 * 6= 2 322
2) 3 087 * 60= 3087*10*6 = 185 220
3) 30 087 * 6= 180 522
4) 435 * 900=435 * 100 * 9 = 391 500
5) 4 035 * 90 = 4 035 * 10 * 9 = 363 150
6) 40 035 * 9 = 360 315
2) распределительным свойством умножения.
1) 387*6= (300 + 80 + 7) * 6 = 1 800 + 480 + 42 = 2322
2) 3 087*60= (3000 + 80 + 7) * 6 * 10 = (18000 + 480 + 42)* 10 = 185 220
3) 30 087*6= ( 30 000 + 80 + 7) * 6 = 180000 + 480 + 42 = 180 522
4) 435*900= ( 400 + 30 + 5) * 9 * 100 = (3600 + 270 +45) * 100 = 3915 *100 = 391 500
5) 4 035*90= (4000 + 30 + 5) * 9 * 10 = (36000 + 270 + 45)* 10 = 36315 * 10 = 363 150
6) 40 035*9= ( 40000 + 30 + 5) * 9 = 360 000 + 270 +45 =360 315
сравни полученные результаты
Результаты одинаковые.
4,5
(63 оценок)
Это интересно:
Д
Дом-и-сад
11.12.2022
Как избавиться от скунсов: лучшие способы...
К
Компьютеры-и-электроника
12.01.2021
Как произвести расчет заработной платы в Excel...
З
Здоровье
25.10.2020
Как выпустить кровь из отекшей ушной раковины ( капустное ухо )...
М
Мир-работы
18.12.2022
Формула успешного бизнеса: как преуспеть в собственном бизнесе...
Х
Хобби-и-рукоделие
19.01.2023
Как сделать клубнику оригами: подробный гайд с шаг за шагом...
К
Компьютеры-и-электроника
17.02.2021
Как начать читать и писать на Leet: история, основы и особенности языка...
04.05.2023
Как выглядеть как Ария Монтгомери...
Д
Дом-и-сад
28.01.2022
Как правильно уложить плавающий пол?...
К
Кулинария-и-гостеприимство
04.04.2023
Как сложить коробку для завтраков: подробная инструкция...
З
Здоровье
08.01.2021
Витамин В12: как его правильно принимать...
Новые ответы от MOGZ: Математика
a4m4u4r4
13.05.2020
Найдите сумму натуральных решенийn неравенства n/1 4 13/56...
svyatkin111
13.05.2020
Третью часть високосного года геологи правили в экспедиции половину времени проведённого экспедиции они работали в тайге сколько суток геологи работали в тайге решите с песнями...
liza4608
13.05.2020
Было-17, уехали-2 и 7, осталось-? составь по краткой записи. запиши три решения этой...
kari65
13.05.2020
Найдите по формуле периметра прямоугольника р=2(а+b),если р=316м,а=45м если можно не уравнением,а как бы решил пятиклассник заранее !...
Kirito2017
13.05.2020
На сколько изменится цифра в разделе тысяч числа 458760,если из числа вычиркнуть число 0 и5?...
adel2006buko
13.05.2020
Какие числа надо потставить в примере 2a+123a+97=472...
Marinkasmirnova
13.05.2020
Нужно решить систему х-у= -п/6 sinx*siny= 1/2...
Ренчик223
13.05.2020
Физкультура. ответить на 2 вопроса, развернуто. 2.раскрой понятие легкая атлетика, какие виды спортивных входят в это понятие, знаменитые легкоатлеты, основные соревнования...
llopatniseva
13.05.2020
3x+6=0 6-3x=0 6x-3=0 3-6x=0 давайте нужно)...
perizatvip
13.05.2020
Выписаняы первые три члена арифметической прогрессии -3 1 5 найдите сумму первых шести ее членов...
MOGZ ответил
Вставьте have to и must в нужной форме -i think i will be a model. -a model?...
Составить диалог о времени уақыт түралы диалог қүрастыр...
Как звали 3 сестриц в сказке о царе салтане?...
Какой падеж у словосочетания.в овраге (каком? ) глубоком.какой падеж?...
Задумали число, увеличили его на 1/7 этого числа и получили 56.какое число...
Катер шел 3 часа против течения и 4 часа по течению. какой путь катер за...
Скажите дату правления петра1 екатерины 1 и ивана антоновича...
Укажите предложение, в котором нужно обособить причастный оборот (знаки...
Напишите сочинение не меньше 10предложений на тему апрель в лесу...
Переведите полтора часа- это сколько часов полчаса -сколько часов...
Полный доступ к MOGZ
Живи умнее Безлимитный доступ к MOGZ
Оформи подписку
О НАС
О нас
Блог
Условия пользования
Авторское право
Политика конфиденциальности
Предпочтения cookie-файлов
ПОМОЩЬ
Зарегистрируйся
Центр помощи
Центр безопасности
App
Вход
Регистрация
Что ты хочешь узнать?
Спроси Mozg
Открыть лучший ответ
×
потому что использовали формулу сокращённого умножения