М
Молодежь
К
Компьютеры-и-электроника
Д
Дом-и-сад
С
Стиль-и-уход-за-собой
П
Праздники-и-традиции
Т
Транспорт
П
Путешествия
С
Семейная-жизнь
Ф
Философия-и-религия
Б
Без категории
М
Мир-работы
Х
Хобби-и-рукоделие
И
Искусство-и-развлечения
В
Взаимоотношения
З
Здоровье
К
Кулинария-и-гостеприимство
Ф
Финансы-и-бизнес
П
Питомцы-и-животные
О
Образование
О
Образование-и-коммуникации
Keliris
Keliris
09.08.2020 04:26 •  Математика

(x+2)*(4-x)/х больше или равно 0
решить неравенство ​

👇
Ответ:
tatsawi
tatsawi
09.08.2020

Відповідь:

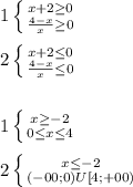
(x+2)\frac{4-x}{x} \geq 0\\                   ОДЗ : x≠0

1\left \{ {{x+2\geq 0} \atop {\frac{4-x}{x} \geq 0}} \right. \\\\2\left \{ {{x+2\leq 0} \atop {\frac{4-x}{x} \leq 0}} \right. \\\\\\1\left \{ {{x\geq -2} \atop {0\leq x\leq 4}} \right. \\\\2\left \{ {{x\leq -2} \atop {(-00;0)U[4;+00)}} \right.

находим пересечение в каждой из систем

1) х∈(0;4]

2)(-∞;-2]

находим объединение промежутков

х∈(-∞;-2]∪(0;4], x≠0

Покрокове пояснення:

4,8(54 оценок)
Открыть все ответы
Ответ:
Bogdasha30060t
Bogdasha30060t
09.08.2020
Всего книг          - 35 кн.                         +4 кн.
Прочитанных       - ?,           + 5 кн.       , в 2 раза больше, чем
Непрочитанных    - ?             -5 кн.           +4 кн.
1)35+4 =39 книг стало после 23.09.15 всего.
2) Пусть х кн. - непрочитанных на 23.09.15 , то  2*х - прочитанных. Зная, что всего книг 39 , составим уравнение:
х+2*х=39
3х=39
х=39:3
х= 13 - книг  непрочитанных на 23.09.15
3) 2* 13= 26  - книг  прочитанных на 23.09.15
4) 26-5 = 21 - книга прочитана на нач. 2015
ответ: 21 книгу Артур прочитал на начало 2015 г.
4,5(93 оценок)
Ответ:
Magomedrasul05555
Magomedrasul05555
09.08.2020
Всего книг          - 35 кн.                         +4 кн.
Прочитанных       - ?,           + 5 кн.       , в 2 раза больше, чем
Непрочитанных    - ?             -5 кн.           +4 кн.
1)35+4 =39 книг стало после 23.09.15 всего.
2) Пусть х кн. - непрочитанных на 23.09.15 , то  2*х - прочитанных. Зная, что всего книг 39 , составим уравнение:
х+2*х=39
3х=39
х=39:3
х= 13 - книг  непрочитанных на 23.09.15
3) 2* 13= 26  - книг  прочитанных на 23.09.15
4) 26-5 = 21 - книга прочитана на нач. 2015
ответ: 21 книгу Артур прочитал на начало 2015 г.
4,6(25 оценок)
Это интересно:
Новые ответы от MOGZ: Математика
Полный доступ к MOGZ
Живи умнее Безлимитный доступ к MOGZ Оформи подписку
logo
Вход Регистрация
Что ты хочешь узнать?
Спроси Mozg
Открыть лучший ответ