Вход
Регистрация
Спроси Mozg AI
М
Молодежь
К
Компьютеры-и-электроника
Д
Дом-и-сад
С
Стиль-и-уход-за-собой
П
Праздники-и-традиции
Т
Транспорт
П
Путешествия
С
Семейная-жизнь
Ф
Философия-и-религия
Б
Без категории
М
Мир-работы
Х
Хобби-и-рукоделие
И
Искусство-и-развлечения
В
Взаимоотношения
З
Здоровье
К
Кулинария-и-гостеприимство
Ф
Финансы-и-бизнес
П
Питомцы-и-животные
О
Образование
О
Образование-и-коммуникации
.....больше.....
..меньше..
karinalove9
13.11.2021 04:39 •
Математика
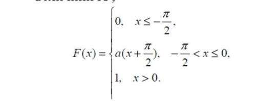
2. Випадкова величина X задана функцією розподілу F(x). Вимагається:
a) визначити параметр a;
b) знайти функцію густини f (x) ;
c) знайти математичне сподівання та дисперсію неперервної випадкової величини X ;
👇
Увидеть ответ
Открыть все ответы
Ответ:
oe5d
13.11.2021
В старших классах применили бы формулу для вычисления числа комбинаций из 10 элементов по два: С(из 10 по 2)=(10·9)/(1·2)=45.
Необходимо каждому отличнику присвоить какую-то цифру, например, 1, 2, 3, 4 ,5 , 6, 7, 8, 9, 10.
Тогда рассмотреть следующие пары:
1-2, 1-3, 1-4, 1-5, 1-6, 1-7, 1-8, 1-9, 1-10
2-3, 2-4, 2-5, 2-6, 2-7, 2-8, 2-9, 2-10
3-4, 3-5, 3-6, 3-7, 3-8, 3-9, 3-10
4-5, 4-6, 4-7, 4-8, 4-9, 4-10.
5-6, 5-7, 5-8, 5-9, 5-10
6-7, 6-8, 6-9, 6-10.
7-8, 7-9, 7-10
8-9, 8-10
9-10
Посчитаем: 9+8+7+6+5+4+3+2+1=45
Всего
4,6
(48 оценок)
Ответ:
Yalcun
13.11.2021
1) 1/2+4/7-3/4=7/14+8/14-3/4=15/14-3/4=30/28-21/28=9/28=3 1/28
2) 1/7+2/3-1/2=3/21+14/21-1/2=17/21-1/2=34/42-21/42=13/42
3) 2/9+3/4-3/5=8/36+27/36-3/5=35/36-3/5=175/180-108/180=67/180
4) 1/2+1/4+1/8=4/8+2/8+1/8=7/8
5) 7/30-2/15+1/6=7/30-4/30+5/30=8/30
6) 5/12+5/6-3/4=5/12+10/12-9/12=6/12=1/2=0,5
7) 4/9-3/10+1/2=40/90-27/90+45/90=58/90=29/45
8) 5/8+1/10-7/25=25/40+4/40-7/25=29/40-7/25=145/200-56/200=89/200=0,445
9) 6/7-41/42+5/12=36/42-41/42+5/12=-5/42+5/12=-10/84+35/84=25/84
10) 7/11+4/33-3/4=21/33+4/33-3/4=25/33-3/4=100/132-99/132=1/132
11) 17/60-19/80+21/40=68/240-57/240+126/240=137/240
12) 21/33+13/44-26/55=84/132+39/132-26/55=123/132-26/55=41/44-26/55=205/220-104/220=101/220
4,5
(19 оценок)
Это интересно:
К
Кулинария-и-гостеприимство
13.01.2020
10 лучших советов: как запекать мясо...
К
Компьютеры-и-электроника
22.06.2020
Как подключить iPad к PS3: пошаговая инструкция...
К
Кулинария-и-гостеприимство
13.06.2020
Как сделать кокосовую муку: простой рецепт для домашнего приготовления...
Т
Транспорт
02.03.2022
Как Проверить Форсунки: Шаг за Шагом Руководство для Начинающих...
П
Питомцы-и-животные
28.03.2022
Как вылечить слипшиеся глазки у хомяка...
К
Компьютеры-и-электроника
26.02.2021
Как наслаждаться игрой в Fruit Ninja в режиме Arcade Mode...
Д
Дом-и-сад
27.10.2021
Как выпрямить древесину: эффективные методы и советы...
К
Кулинария-и-гостеприимство
12.06.2021
Как приготовить чесночную пасту: простой и быстрый рецепт с пошаговыми инструкциями...
З
Здоровье
17.05.2023
Болезнь, которую нам нужно победить: Как справиться с защемлением нерва в бедре...
И
Искусство-и-развлечения
11.03.2023
Как стильно одеться в стиле Гарри Поттера...
Новые ответы от MOGZ: Математика
Спасибо181
21.06.2022
Математика 6 класс. Центральная симметрия. Остовая симметрия. Урок 1 Опредили треугольники,которые имеют ось...
7777kby777777777778
24.10.2020
*Задание* *Рассчитайте работу* электрического тока. Стоимость 1 кВт*ч электроэнергии – 5 тнг/(кВт*ч) За 1 день было 25 кВт Вычислить стоимость электрической энергии за 30 дней...
tivvyvvyyvyva
28.01.2022
решить умоляю: Ps извеняюсь за почерк ...
Zhuchkov270302
18.07.2021
Едели порядок действий и вычисли. 156. (6 075 + 9 980 - 15 996): 26 (8 162 - 37 929:47) · 208 - 907 - 39 1 сут. - 3 ч 48 мин + 9ч 56 мин 90 т - 10 т 9 ц - 32 т 4 ц4 кг ТЫ ИССЛЕДОВАТЕЛЬ...
НастяО11
18.11.2021
Діагональ прямокутника дорівнює 13 см, а одна з його сторін -12 см. Знайти периметр прямокутника...
КамбэкBTS
07.11.2021
Расмотри рисунки и объясни. Реши уравнения. икс уножить на 3 равно 12...
idiotizROSSII
25.06.2020
Система дифференциальных уравнений....
kotovaalina31
02.10.2021
Решите уравнение |x| = 6. А)-6 В) 6 С)-6 и 6 ...
oaooks
16.03.2021
3) 249,14:100 a)2,4914 B) 24914 c)2491400 )24,9...
samsunguser
11.09.2022
Нужно условие задачи и решение с одного участка собрали 59 центнеров помидоров, с другого на 10 центнеров меньше. все помидоры погрузили поровну на 3 грузовика сколько центнеров помидоров...
MOGZ ответил
план по истории новый и старый свет время перемен учебник история нового времени...
АВС үшбұрышында С бұрышы 90 (градус), А бұрышы 30 (градус), АС=2. СН биіктігін...
ПП, а не ПреоК І ПРук Ставь и овтори 5.Самостоятельная работа. Вставь пропущенные...
ABCD параллелограмының BD диагоналында РВ=QD болатындай Р және Q нүктелері берілген...
Найдите периметр параллелограмма ABCD, если AD ответ: = 5, CD = 8....
Мәтін абзацтарының негізгі ойын толықтыр....
Виписаты 5 приказок про навчання...
Обчисліть модуль напруженості електричного поля на відстані 5 м від відокремленого...
Виберіть, у яких випадках утворяться істинні розчини, якщо речовини добре перемішати...
политика царизма вступившего в империалистическую войну привела к усилению социального...
Полный доступ к MOGZ
Живи умнее Безлимитный доступ к MOGZ
Оформи подписку
О НАС
О нас
Блог
Условия пользования
Авторское право
Политика конфиденциальности
Предпочтения cookie-файлов
ПОМОЩЬ
Зарегистрируйся
Центр помощи
Центр безопасности
App
Вход
Регистрация
Что ты хочешь узнать?
Спроси Mozg
Открыть лучший ответ
×
Необходимо каждому отличнику присвоить какую-то цифру, например, 1, 2, 3, 4 ,5 , 6, 7, 8, 9, 10.
Тогда рассмотреть следующие пары:
1-2, 1-3, 1-4, 1-5, 1-6, 1-7, 1-8, 1-9, 1-10
2-3, 2-4, 2-5, 2-6, 2-7, 2-8, 2-9, 2-10
3-4, 3-5, 3-6, 3-7, 3-8, 3-9, 3-10
4-5, 4-6, 4-7, 4-8, 4-9, 4-10.
5-6, 5-7, 5-8, 5-9, 5-10
6-7, 6-8, 6-9, 6-10.
7-8, 7-9, 7-10
8-9, 8-10
9-10
Посчитаем: 9+8+7+6+5+4+3+2+1=45
Всего