М
Молодежь
К
Компьютеры-и-электроника
Д
Дом-и-сад
С
Стиль-и-уход-за-собой
П
Праздники-и-традиции
Т
Транспорт
П
Путешествия
С
Семейная-жизнь
Ф
Философия-и-религия
Б
Без категории
М
Мир-работы
Х
Хобби-и-рукоделие
И
Искусство-и-развлечения
В
Взаимоотношения
З
Здоровье
К
Кулинария-и-гостеприимство
Ф
Финансы-и-бизнес
П
Питомцы-и-животные
О
Образование
О
Образование-и-коммуникации
mishaniy
mishaniy
11.04.2023 03:43 •  Математика

(8y-30)×9=50тендеуді шешу керек​

👇
Ответ:
Alymov671
Alymov671
11.04.2023

Відповідь:

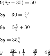
9(8y-30)=50\\\\8y-30=\frac{50}{9} \\\\8y=5\frac{5}{9}+30 \\\\8y=35\frac{5}{9}\\\\ y=\frac{320}{9} *\frac{1}{8} =\frac{40}{9} =4\frac{4}{9}

Покрокове пояснення:

4,8(58 оценок)
Ответ:

................

Пошаговое объяснение:

....


(8y-30)×9=50тендеуді шешу керек​
4,7(81 оценок)
Открыть все ответы
Ответ:
kucharin
kucharin
11.04.2023
Ушиб - закрытое повреждение тканей без нарушения их структуры. Первая к месту ушиба необходимо приложить что-то холодное, желательно через ткань
Рястяжение - повреждение мышц и сухожилий без нарушения их целостности. 
Первая обездвижить, наложить тугую повязку и приложить холод.
Вывих: смещение кости в суставе. 
Первая необходимо зафиксировать конечность в том положении, которое он принял при вывихе, после чего необходимо приложить холод
Разрыв - повреждение мягких тканей организма.
Первая провести такие же мероприятия, как при ушибе
Перелом - нарушение целостности кости.
Первая в первую очередь необходимо зафиксировать пострадавшую конечность. Если же у пострадавшего открытый перелом, в первую очередь необходимо продезинфицировать рану (йод, зеленка, спирт) и наложить давящую повязку, так как последствия потери крови намного опаснее, чем сам перелом. 
И конечно же, после всех этих мероприятий необходимо обратиться к врачу.
4,5(86 оценок)
Ответ:
ayer1
ayer1
11.04.2023

Пошаговое объяснение:

Task 4. Write the words. Types of literature.

F_ _ _ _ t_ _ _.

H_ _ _ _ _.

S_ _ _ _ _ _ - f_ _ _ _ _ _.

B_ _ _ _ _ _ _ _.Task 4. Write the words. Types of literature.

F_ _ _ _ t_ _ _.

H_ _ _ _ _.

S_ _ _ _ _ _ - f_ _ _ _ _ _.

B_ _ _ _ _ _ _ _.Task 4. Write the words. Types of literature.

F_ _ _ _ t_ _ _.

H_ _ _ _ _.

S_ _ _ _ _ _ - f_ _ _ _ _ _.

B_ _ _ _ _ _ _ _.Task 4. Write the words. Types of literature.

F_ _ _ _ t_ _ _.

H_ _ _ _ _.

S_ _ _ _ _ _ - f_ _ _ _ _ _.

B_ _ _ _ _ _ _ _.Task 4. Write the words. Types of literature.

F_ _ _ _ t_ _ _.

H_ _ _ _ _.

S_ _ _ _ _ _ - f_ _ _ _ _ _.

B_ _ _ _ _ _ _ _.Task 4. Write the words. Types of literature.

F_ _ _ _ t_ _ _.

H_ _ _ _ _.

S_ _ _ _ _ _ - f_ _ _ _ _ _.

B_ _ _ _ _ _ _ _.Task 4. Write the words. Types of literature.

F_ _ _ _ t_ _ _.

H_ _ _ _ _.

S_ _ _ _ _ _ - f_ _ _ _ _ _.

B_ _ _ _ _ _ _ _.Task 4. Write the words. Types of literature.

F_ _ _ _ t_ _ _.

H_ _ _ _ _.

S_ _ _ _ _ _ - f_ _ _ _ _ _.

B_ _ _ _ _ _ _ _.Task 4. Write the words. Types of literature.

F_ _ _ _ t_ _ _.

H_ _ _ _ _.

S_ _ _ _ _ _ - f_ _ _ _ _ _.

B_ _ _ _ _ _ _ _.

4,4(22 оценок)
Это интересно:
Новые ответы от MOGZ: Математика
logo
Вход Регистрация
Что ты хочешь узнать?
Спроси Mozg
Открыть лучший ответ