М
Молодежь
К
Компьютеры-и-электроника
Д
Дом-и-сад
С
Стиль-и-уход-за-собой
П
Праздники-и-традиции
Т
Транспорт
П
Путешествия
С
Семейная-жизнь
Ф
Философия-и-религия
Б
Без категории
М
Мир-работы
Х
Хобби-и-рукоделие
И
Искусство-и-развлечения
В
Взаимоотношения
З
Здоровье
К
Кулинария-и-гостеприимство
Ф
Финансы-и-бизнес
П
Питомцы-и-животные
О
Образование
О
Образование-и-коммуникации
vanyushagay96
vanyushagay96
17.05.2023 09:22 •  Математика

Найдите большую сторону прямоугольника периметр которого равен 100 см а одна из его сторон в четыре раза больше другой​

👇
Ответ:
polina030502
polina030502
17.05.2023

40 см

Пошаговое объяснение:

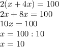
1 сторона - х

2 сторона - 4х

P=(A+B)*2

2(x+4x)=100\\2x+8x=100\\10x=100\\x=100:10\\x=10

10*4=40(cm) - большая сторона

4,8(1 оценок)
Ответ:
Katysha1111111
Katysha1111111
17.05.2023

Составим уравнение, где а и b - стороны прямоугольника

1) a2+b2=100

(b запишем как a4, тогда)

2a+6a=100

8a=100

a=12,5

(Далее находим b)

2) 12,5×4=50 (см) - b

ответ: 50 см

4,4(64 оценок)
Открыть все ответы
Ответ:
fiaskobro
fiaskobro
17.05.2023

*960*

Пошаговое объяснение:

Все нечетные числа, включая от 101 и до 2019 образуют арифметическую прогрессию.

Используем формулу для нахождения n-го члена арифметической прогрессии:

а<sub>n</sub>=a<sub>1</sub>+(n-1)*d

По условию, а<sub>1</sub>=101; а<sub>n</sub>=2019; d=a<sub>2</sub>-a<sub>1</sub>=2;

Подставляем данные в формулу

2019=101+(n-1)*2

n - это и будет количество непарных чисел между 101 и 2019(включительно)

Ищем n

2019=101+2n-2

2019-101+2=2n

1920=2n

n=1920/2; *n=960*

P.S.: <sub>***</sub> - это запись нижнего регистра. То есть, то, что стоит на месте *** - индекс. Извиняюсь, если это неудобно читать

4,7(35 оценок)
Ответ:
Mynir
Mynir
17.05.2023

Пошаговое объяснение:

1) 0,21x = 6,3;                        2)0,04x = 2

x= 6.3 / 0.21                          x=2/0,04                

x=30                                      x=50

ответ:30                              ответ:50

3) 2,7x = 2,727;                    4) 0,132x = 132

x=  2,727/2.7                        x=132/0.132          

x=1.01                                    x=1000

ответ:1.01                            ответ:1000

5) 0,6x = 4,2;

x= 4.2/0.6            

x=7                                    

ответ:7

4,6(49 оценок)
Это интересно:
Новые ответы от MOGZ: Математика
logo
Вход Регистрация
Что ты хочешь узнать?
Спроси Mozg
Открыть лучший ответ