М
Молодежь
К
Компьютеры-и-электроника
Д
Дом-и-сад
С
Стиль-и-уход-за-собой
П
Праздники-и-традиции
Т
Транспорт
П
Путешествия
С
Семейная-жизнь
Ф
Философия-и-религия
Б
Без категории
М
Мир-работы
Х
Хобби-и-рукоделие
И
Искусство-и-развлечения
В
Взаимоотношения
З
Здоровье
К
Кулинария-и-гостеприимство
Ф
Финансы-и-бизнес
П
Питомцы-и-животные
О
Образование
О
Образование-и-коммуникации

Периметр треугольника 48 см, а длина сторон относится как 1: 2: 3. определить стороны треугольника. решить заранее огромнейшее )

👇
Ответ:
TTpo100y4eHuk
TTpo100y4eHuk
21.01.2020

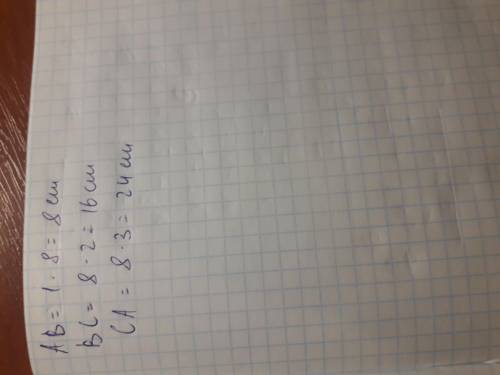
8, 16, 24

Пошаговое объяснение:

48 : (1+2+3) = 8

8 * 1 = 8

8 * 2 = 16

8 * 3 = 24

4,5(86 оценок)
Ответ:

ответ: 8,16,24

Пошаговое объяснение:


Периметр треугольника 48 см, а длина сторон относится как 1: 2: 3. определить стороны треугольника.
Периметр треугольника 48 см, а длина сторон относится как 1: 2: 3. определить стороны треугольника.
4,7(11 оценок)
Открыть все ответы
Ответ:
natalik2038
natalik2038
21.01.2020
МНЕ  САМОЙ ЗАДОЛИ ЕСЛИ ПАМОГ СКАЖИ
Правила безопасности перед выходом из лагеря, населенного пункта 

1. Выбранный маршрут должен соответствовать уровню подготовки и возможностям участников. 
2. Тщательно изучить направление движения, имеющуюся маркировку, характер рельефа, трудности, опасности, источники воды, возможность схода с маршрута в случае необходимости. 
3. Разработать график и определить порядок движения группы, что мобилизует и дисциплинирует людей. 
4. Не начинать трудного продолжительного перехода и восхождения без предварительной подготовки и акклиматизации. 
5. Перед выходом ознакомиться с прогнозом погоды на период движения по маршруту. 
6. Не выходить на маршрут при явно неблагоприятных условиях: через 2—3 дня после обильного снегопада, в туман, при низкой температуре или сильно выраженной лавинной опасности. 
7. Выходить в темное время только при хорошем знании маршрута, предстоящем долгом дневном переходе, а в плохую погоду — при работах. 
8. Тщательно проверить экипировку, снаряжение и продукты питания, состояние здоровья участников, не брать на маршрут больных, чувствующих недомогание, не вполне поправившихся после болезни людей. 
9. Всем участникам знать опасности и причины, ведущие к несчастью, уметь их своевременно обнаружить, не допускать самонадеянного подхода к опасностям, соблюдать правила безопасности. 
10. Не предпринимать поход, восхождение или экспедицию без опытного, авторитетного руководителя, знающего маршрут, и без правильно заполненной и оформленной документации. 
11. В незнакомой местности двигаться только по хорошо размеченному маршруту. 
12. Выходить на маршрут рано утром, хорошо экипировавшись, имея достаточный запас продуктов и только после сообщений графика движения на пункт контрольно службы (ПКСС), начальнику базы или другим лицам. 
13. Принять необходимые меры к предохранению ног от ранений и переохлаждения. 
14. Начинать движение лишь в исправных (прочных, просушенных) обуви, одежде, носках, рукавицах 
4,8(78 оценок)
Ответ:
adrienagrest
adrienagrest
21.01.2020
Пусть точка М – середина ребра AS, а точка Е – середина ребра ВС.    О – точка пересечения медиан, значит точка О – центр основания пирамиды. SO – высота пирамиды AS – наклонная к плоскости АВС АО – проекция наклонной AS на плоскость АВС Точка К - проекция точки М на плоскость АВС.  МЕ – наклонная к плоскости АВС. Значит КЕ – проекция МЕ на плоскость АВС. Угол МЕК – искомый угол. Искомый угол найдём из треугольника МЕК. Для этого найдём МК и КЕ. АЕ – высота равностороннего треугольника АВС.  АО – радиус описанной окружности около равностороннего треугольника АВС.  Треугольник ASO – прямоугольный. По теореме Пифагора найдём SO.   SO = 7   Так как точка М – середина AS, то          
4,8(90 оценок)
Это интересно:
Новые ответы от MOGZ: Математика
logo
Вход Регистрация
Что ты хочешь узнать?
Спроси Mozg
Открыть лучший ответ