М
Молодежь
К
Компьютеры-и-электроника
Д
Дом-и-сад
С
Стиль-и-уход-за-собой
П
Праздники-и-традиции
Т
Транспорт
П
Путешествия
С
Семейная-жизнь
Ф
Философия-и-религия
Б
Без категории
М
Мир-работы
Х
Хобби-и-рукоделие
И
Искусство-и-развлечения
В
Взаимоотношения
З
Здоровье
К
Кулинария-и-гостеприимство
Ф
Финансы-и-бизнес
П
Питомцы-и-животные
О
Образование
О
Образование-и-коммуникации
28916587
28916587
20.04.2020 06:02 •  Математика

1 кг печива на 8 кг дешевший, ніж 1 кг цукерок. За 3 кг печива і 2 кг цукерок заплатили 106 грн. Скільки коштує 1 кг печива і скільки 1 кг цукерок?

👇
Ответ:
ibatulina03
ibatulina03
20.04.2020

решение

5 * х = 39х +12

х = 18

18+12 = 30

ответ 18 и 30 грн

4,5(90 оценок)
Ответ:
vodzinskiyaleksandr
vodzinskiyaleksandr
20.04.2020

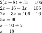
2(x + 8) +3x = 106 \\ 2x + 16 + 3x = 106 \\ 2x + 3x = 106 - 16 \\ 5x = 90 \\ x =90 \div 5 \\ x = 18

18+8=26

ответ:1кг печенья стоит 18грн;1кг конфет стоит 26грн;

4,5(28 оценок)
Открыть все ответы
Ответ:
Учёные-натуралисты не только наблюдают и опи­сывают природу, но также проводят эксперименты. Один из таких экспериментов провёл в XVIII в. ан­глийский натуралист Джозеф Пристли. В резуль­тате этого эксперимента было установлено, что рас­тения выделяют кислород — «газ жизни».Джозеф ПристлиИсследованиям натуралистов географические путешествия.Не все взгляды натуралистов остаются до сих пор правильными. Частично они устарели. Но это не преуменьшает вклада учёных-натуралистов в формирование современных естествен­ных наук. Своими трудами они положили начало целенаправленному исследованию тел живой и неживой природы, что развитию физики, биологии, химии, географии, астрономии.ПарацельсЗначительное внимание учёные-натуралисты уделяли исследованию организма чело­века. Всемирно известный врачПарацельс (1493-1541 гг.) также был натуралистом. Он отстаивал мысль о том, что живая и неживая природа имеет одинаковый состав. Это позволило ему успешно подбирать вещества для лечения больных. Дости­жения врача и натуралиста Парацельса открыли широкие горизонты для развития медицины. С тех пор много времени, а учёные продолжают создавать новые лекарства.Натуралисты ведут наблюдения за природой, познают её в процессе исследований, описывают увиденное. Благодаря научной деятельности и достижениям учёных-натуралистов сформирова­лись естественные науки — астрономия, биоло­гия, физика, география, химия.М. В. ЛомоносовМ. В. Ломоносов (1711—1765). Известный рос­сийский исследователь природы Михаил Василье­вич Ломоносов сделал много открытий. В частно­сти, он пришёл к выводу, что на Земле постоянно происходят изменения, и они являются причиной изменчивости растений и животных. Учёный от­крыл закон сохранения массы веществ. М. Ломо­носов некоторое время учился в Украине в Киево-Могилянской академии. Затем вместе с другими лучшими учениками он продолжил обучение за границейЧарльз Дарвин (1809—1882). Английский учё­ный-натуралист Чарльз Дарвин вошёл в историю естественных наук как исследователь происхожде­ния видов живых организмов на Земле. Исследова­ниям пятилетнее кругосветное пла­вание в 1831—1836 гг. За это время он собрал много ценных для науки материалов (останки ископаемых животных, многочисленные образцы растений, опи­сание наблюдений за природой в разных уголках Земли). Благодаря собранной учёным коллекции растений и животных стало известно о распростра­нении организмов на нашей планете. Чарльз Дар­вин пришёл к выводу, что и вымершие животные, и живущие ныне имеют общее происхождение, но последние существенно изменились. Свои взгляды исследователь изложил в книге «Происхождение видов путём природного отбора». Все экземпляры книги были раскуплены в течение дня, что свиде­тельствует о выдающихся успехах учёного. Материал с сайта http://iEssay.ruВ. И. Вернадский
В. И. Вернадский (1863—1945 гг). Украина гор­дится своим соотечественником — выдающимся учёным мирового уровня Владимиром Иванови­чем Вернадским. Он стал организатором и первым президентом Академии наук Украины, был ини­циатором создания научно-исследовательских институтов по изучению природы. Исследователь был убежден d том, что живые организмы играют главную роль в природе, и создал учение о биосфе­ре — особой оболочке Земли, в которой распро­странена жизнь. Своё учение он изложил в книге «Биосфера» (1926 г.). В. Вернадский был родом из запорожских казаков, искренне желал Украине стать независимой..
4,4(9 оценок)
Ответ:
Anuxi1488
Anuxi1488
20.04.2020
Экологическая катастрофа – стихийное бедствие, крупная производственная или транспортная авария (катастрофа), приводящие к чрезвычайно неблагоприятным изменениям в сфере обитания и, как правило, массовому поражению флоры, фауны, почвы, воздушной среды и в целом природы;    • производственная или транспортная катастрофа – крупная авария, повлекшая за собой человеческие жертвы и значительный материальный ущерб;                   • техногенная катастрофа – внезапное, непредусмотренное освобождение механической, химической, термической, радиационной и иной энергии.             Стихийные бедствия– это опасные явления или процессы геофизического, геологического, гидрологического, атмосферного и другого происхождения таких масштабов, при которых возникают катастрофические ситуации, характеризующиеся внезапным нарушением жизнедеятельности людей, разрушением и уничтожением материальных ценностей.                Стихийные бедствия, как правило, приводят к авариям и катастрофам в промышленности, на транспорте, в коммунально-энергетическом хозяйстве и других сферах жизнедеятельности человека.
4,8(8 оценок)
Это интересно:
Новые ответы от MOGZ: Математика
logo
Вход Регистрация
Что ты хочешь узнать?
Спроси Mozg
Открыть лучший ответ