М
Молодежь
К
Компьютеры-и-электроника
Д
Дом-и-сад
С
Стиль-и-уход-за-собой
П
Праздники-и-традиции
Т
Транспорт
П
Путешествия
С
Семейная-жизнь
Ф
Философия-и-религия
Б
Без категории
М
Мир-работы
Х
Хобби-и-рукоделие
И
Искусство-и-развлечения
В
Взаимоотношения
З
Здоровье
К
Кулинария-и-гостеприимство
Ф
Финансы-и-бизнес
П
Питомцы-и-животные
О
Образование
О
Образование-и-коммуникации
Maxxwell1
Maxxwell1
19.02.2022 00:27 •  Математика

Ребята решить 3 номер. Буду очень признательна.
За номер
УМОЛЯЮ ​


Ребята решить 3 номер. Буду очень признательна.За номер УМОЛЯЮ ​ ​

👇
Ответ:
mixaqwer
mixaqwer
19.02.2022

m=(-5,12)  и |m|=13

Пошаговое объяснение:


Ребята решить 3 номер. Буду очень признательна.За номер УМОЛЯЮ ​ ​
4,8(27 оценок)
Ответ:

\vec{m}( - 5;12) \\ |\vec{m}| = 13

Пошаговое объяснение:

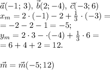
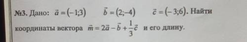
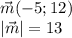
\vec{a}(-1; \:3), \: \vec b (2;-4), \: \vec c(-3;6) \\ \vec{m} = 2 \vec {a} - \vec b + \frac{1}{3} \vec c

Вектор m будет иметь следующие координаты

\vec m(x_m; \: y_m): \\ x_m=2 \cdot x_a - x_b + \frac{1}{3} x_c; \\ y_m=2 \cdot y_a - y_b + \frac{1}{3} y_c;

\vec{a}(-1; \:3), \: \vec b (2;-4), \: \vec c(-3;6) \\x_m = 2 \cdot( - 1) - 2 + \frac{1}{3} \cdot( - 3) = \\ = - 2 - 2 - 1 = - 5;\\ y_m = 2 \cdot3 - \cdot( - 4) + \frac{1}{3} \cdot6 = \\ = 6 + 4 + 2 =12. \\ \\ \vec{m} = \vec{m}( - 5;12) \\

Длина вектора m будет равна

|\vec{m}|

|\vec{m}| = \sqrt{{x_m}^{2} + {y_m}^{2} } \\ |\vec{m}| = \sqrt{( - 5)^{2} + {12}^{2} } = \\ = \sqrt{144 + 25} = \sqrt{169} \\ |\vec{m}| = 13

4,8(39 оценок)
Открыть все ответы
Ответ:
senan52
senan52
19.02.2022
Крестьянин Иван Сусанин узнает, что его боярина Михаила Романова собор ставит на Царство. Тем временем поляки вынашивают коварный план покорить Россию, захватив царя Михаила Романова в плен. Поляки появляются у дома Ивана Сусанина и требуют, чтобы их проводили к царю. Иван Сусанин притворно соглашается. А про себя думает: "Пойду, пойду. Их заведу в болото, в глушь, в трясину, в топь". Среди болот, когда поляки поняли, что их обманули, они забили Ивана Сусанина до смерти, но и сами не смогли выбраться.Эпилог. Толпы народа в праздничных платьях медленно проходят по сцене. Звучит знаменитый гимн "Славься, славься, Святая Русь".Михаил Романов находился как раз в Костроме в Ипатьевском монастыре, а погубил Иван Сусанин захватчиков в костромских болотах. Теперь это Сусанинский район Костромской области."Как бы по волшебному действию вдруг создался план целой оперы, и мысль противопоставить русской музыке - польскую; наконец, многие темы и даже подробности разработки - всё это разом вспыхнуло в голове моей". М.И. Глинка.
4,8(10 оценок)
Ответ:
LollyMelor
LollyMelor
19.02.2022
Крестьяне села Домнино радостно встречают ополченцев.Грустит лишь Антонида. Она ждет возвращения своего жениха — Богдана Собинина,который с дружиной ушел громить польскую шляхту. Сусанину понятны чувства дочери, но он хочет подготовить ее к испытаниям, которые несет тяжкая година.Не время сейчас думать о свадьбе. Внезапно с реки доносится песня. Это возвращается Собииин с дружиной. Он принес радостную весть: Минин и Пожарский возглавили русское войско, и со всех концов к ним стекается ратный люд.Крестьяне ликуют: близок час освобождения. Решение Сусанина отложить свадьбу огорчает Собинина: ведь для свадьбы он вернулся в родное село. Сначала Сусанин непреклонен, но, узнав, что враги осаждены в Москве, дает согласие.В старинном польском замке короля Сигизмунда IIIбеспечно пирует надменная, уверенная в своей победе шляхта. Ярко освещенная зала полна веселящихся гостей. Внезапно танцы прерываются появлением гонца. Он сообщает о разгроме наемных войск и осаде польского отряда в Москве. Шляхта в смятении. Рыцари собираются в бой, хвастливо бряцая оружием, клянутся покорить «ненавистных смердов».В доме Сусанина готовятся к свадьбе Антониды и Собинина. Приемный сын Сусанина Ваня мечтает идти вместе с Собининым против поляков. Вошедшие крестьяне поздравляют жениха и невесту, Сусанин приглашает их на свадьбу. Вдруг слышится конский топот. Дверь распахивается, и в избу входят поляки. Им нужен проводник, чтобы пройти к Москве. Напрасно враги уговаривают Сусанина — он не станет предателем. Тогда поляки предлагают Сусанину золото.Неожиданно Сусанин соглашается: его осеняет мысль завести поляков в непроходимую лесную чащу. Тайком от врагов он посылает Ваню предупредить Минина об опасности и уходит с поляками. Узнав о случившемся, Собинин с дружиной устремляется в погоню за врагами.Ваня сообщает русским воинам о приходе польского отряда. Ратники полны решимости разгромить врагов и Сусанина. Во главе с Мининым они выступают навстречу врагу.Глухим, непроходимым лесом бредут усталые, замерзшие поляки. Враги подозревают, что Сусанин сбился с пути. Наконец отряд останавливается на привал, поляки засыпают. Не спит Сусанин. Он знает, что его ждет смерть: поляки чуют правду. Тяжело умирать, но свой долг он выполнил.Поднимается метель, и в свисте ветра Сусанину чудятся голоса детей. Светлеет.Проснувшиеся поляки с ужасом убеждаются, что им не выбраться из глухих лесных дебрей. Сусанин, торжествуя, открывает панам страшную правду. Взбешенные поляки убивают его.В Москве, на Красной площади, народ приветствует русские войска. Здесь же Ваня, Антонида и Собинин. Народ празднует освобождение и славит героев, отдавших жизнь за победу над врагом.
4,4(33 оценок)
Новые ответы от MOGZ: Математика
logo
Вход Регистрация
Что ты хочешь узнать?
Спроси Mozg
Открыть лучший ответ