М
Молодежь
К
Компьютеры-и-электроника
Д
Дом-и-сад
С
Стиль-и-уход-за-собой
П
Праздники-и-традиции
Т
Транспорт
П
Путешествия
С
Семейная-жизнь
Ф
Философия-и-религия
Б
Без категории
М
Мир-работы
Х
Хобби-и-рукоделие
И
Искусство-и-развлечения
В
Взаимоотношения
З
Здоровье
К
Кулинария-и-гостеприимство
Ф
Финансы-и-бизнес
П
Питомцы-и-животные
О
Образование
О
Образование-и-коммуникации
99880
99880
22.09.2021 19:09 •  Математика

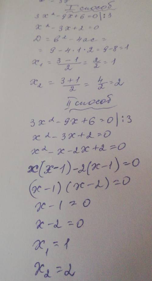
3х2-9х+6=0 знайдіть корені квадратного рівняння​

👇
Ответ:
Elkahit
Elkahit
22.09.2021

Смотри решение на фото


3х2-9х+6=0 знайдіть корені квадратного рівняння​
4,5(83 оценок)
Ответ:
rar18
rar18
22.09.2021

2

Пошаговое объяснение:

3х2-9х+6=0

6х-9х+6=0

-3х+6=0

-3х= -6

х= -6/-3

х=2

4,8(52 оценок)
Открыть все ответы
Ответ:
kseniya09451
kseniya09451
22.09.2021

каковы причины возникновения конфликтов?

а что   важнее – ответы или вопросы?

есть такой тезис: — «что естественно, то не безобразно». если конфликт – это естественный процесс (как вы утверждаете)   то   значит, он не безобразен, то есть нормальный.

какие виды конфликтов бывают?

какие есть способы решения конфликтов?

если   каждый конфликт уникален, то значит ли, что   соответственно подход к его разрешению тоже должен быть уникальным?

существуют ли алгоритмы поведения, которые можно использовать для разрешения конфликтной ситуации?

что на самом деле может лежать в основе такой «конфликтности»? может, нам просто не хватает опыта и знаний — разглядеть за внешней задиристостью — что-то другое?

всегда ли человек должен серьёзно реагировать на конфликты?

как избежать конфликты? или может быть, их избегать не надо, просто надо уметь учиться на своих ошибках?

хотелось бы узнать, как остановить конфликты и можно ли остановить их вообще?

как   остановить конфликт, который у меня длится с   третьего   класса с некоторыми учениками? сейчас я   учусь в 8 классе.

верно ли, что именно в подростковом возрасте закладывается некоторый «», который может способствовать, а может и препятствовать формированию личности и что личность формируется на протяжении всей жизни человека.

что это за «конфликт», в котором формируется личность и как это ее формирование можно увидеть, проследить?

как известно, в школе нормам дискуссии не учат. отсюда возникает много проблем… и не только у учащихся.

как вы считаете, когда ученики не хотят учиться, это конфликт? кого с кем? с чем?

4,5(95 оценок)
Ответ:
Alisa1999WWW
Alisa1999WWW
22.09.2021

х грн. - цена ручки, у грн. - цена карандаша

{5х + 4у = 10

{3х - 2у = 1,6

- - - - - - - - - - -

8х + 2у = 11,6     | сложили оба уравнения системы

4х + у = 5,8        | разделили обе части на 2

у = 5,8 - 4х         | подставим значение у в любое уравнение системы

5х + 4 · (5,8 - 4х) = 10          или          3х - 2 · (5,8 - 4х) = 1,6

5х + 23,2 - 16х = 10                              3х - 11,6 + 8х = 1,6

5х - 16х = 10 - 23,2                               3х + 8х = 1,6 + 11,6

-11х = -13,2                                             11х = 13,2

х = -13,2 : (-11)                                        х = 13,2 : 11

х = 1,2                                                    х = 1,2

- - - - - - - - - - -

у = 5,8 - 4х

у = 5,8 - 4 · 1,2

у = 5,8 - 4,8

у = 1

ответ: 1 грн. 20 коп. - цена ручки; 1 грн. - цена карандаша.

4,7(63 оценок)
Это интересно:
Новые ответы от MOGZ: Математика
Полный доступ к MOGZ
Живи умнее Безлимитный доступ к MOGZ Оформи подписку
logo
Вход Регистрация
Что ты хочешь узнать?
Спроси Mozg
Открыть лучший ответ