М
Молодежь
К
Компьютеры-и-электроника
Д
Дом-и-сад
С
Стиль-и-уход-за-собой
П
Праздники-и-традиции
Т
Транспорт
П
Путешествия
С
Семейная-жизнь
Ф
Философия-и-религия
Б
Без категории
М
Мир-работы
Х
Хобби-и-рукоделие
И
Искусство-и-развлечения
В
Взаимоотношения
З
Здоровье
К
Кулинария-и-гостеприимство
Ф
Финансы-и-бизнес
П
Питомцы-и-животные
О
Образование
О
Образование-и-коммуникации
10584869678
10584869678
28.12.2021 08:50 •  Математика

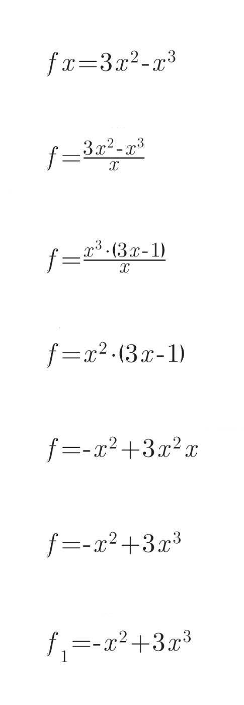
1 колонка , я сейчас взорвусь ;(


1 колонка , я сейчас взорвусь ;(

👇
Ответ:
etyan00
etyan00
28.12.2021

Пошаговое объяснение:

Там только одно жди ещё


1 колонка , я сейчас взорвусь ;(
4,4(78 оценок)
Открыть все ответы
Ответ:
Haskky
Haskky
28.12.2021
Есть пятьдесят Штатов в Соединенных Штатах Америки. Два из этих государств, на Аляске и Гавайях, не связан с другими государствами. Это вы можете видеть на этой карте. США омывает тихий Океан, на западе-Атлантическим Океаном, на Востоке, на берегу Карибского Моря и мексиканского залива на юге. На севере Великих Озер. США-большая страна с большим количеством природных чудес. Он идет от берегов Атлантического Океана на Гавайские острова в тихом океане, и от холодной, заснеженной Северной Аляски в солнечную Флориду на юго-Востоке. США почти в любую погоду. Кроме того, он имеет много видов земель - скалистое побережье, сухой пустой пустыни, большие реки, широкие равнины и Луга, озера-все размеры, высокие горы, обширные леса, солнечные пляжи, земель " бесконечная зима". Более чем 250 млн. человек проживают в США. Но страна очень большая, так что впереди еще много открытого пространства и природные пейзажи за пределами городов. Американцы пытались многих из самых красивых диких районах Соединенных Штатов. Здесь много парков, лесов и wildlands, где вы можете насладиться красотой и силой дикой Америке. Гранд-Каньон, Долина Йосемити, и Йеллоустоун, являются одними из самых известных. Много рек протекает в Соединенных Штатах. Но самое трудное-это могучая Миссисипи. Коренные американцы называли его "отец вод". Она начинается в тихом месте в Северной части страны, и заканчивается в Мексиканском заливе, почти в четыре тысячи milesl (6400 км). На своем пути к морю, Миссисипи, проходит через несколько состояний, и становится больше и мощнее, он приносит воду для сельскохозяйственных угодий. И Миссисипи был важным водным путем с ранних времен, когда коренные американцы совершили путешествие по реке в Каноэ. Среди других крупных рек Колорадо и Миссури. Колорадо-Река поднимается в Скалистых Горах или скалистых гор, которые простираются от Аляски вниз, почти на самом юге страны. Еще одна большая горная цепь-это Аппалачи на Востоке тоже, идущих с Севера на Юг. Гранд-Каньон является одним из Америки основных туристических достопримечательностей. Он настолько большой, что вы должны пойти туда самостоятельно, чтобы почувствовать ее истинный размер и красота. Река Колорадо, образовали большой Каньон на протяжении миллионов лет. Медленно, река прорезала вниз через hard rock. Сегодня, каньон находится в одной миле глубоко и в 200 милях (320 км) в длину. Интересно, что существуют различные виды растений и животных, находящиеся на противоположной стороне каньона. Южная сторона сухой и пустынной стране. Северная сторона имеет высокие леса. Каньон выглядит по-разному в разное время суток и в различные сезоны года и погоды. На восход и закат красный, золотой, коричневый и оранжевый цвет скал особенно четко и ярко. Зимой, каньон местами были покрыты снегом. Вы можете спуститься в Гранд-Каньон, или можно спуститься на спине мула. Но будьте осторожны, чтобы взять с собой достаточно воды, потому что внутри каньона, очень жарко - гораздо жарче, чем в верхней.
4,6(57 оценок)
Ответ:
Demonis666
Demonis666
28.12.2021
Нарисовать здесь не смогу, но попытаюсь объяснить.
Все мы в детстве рисовали домик. Сначала мы рисовали квадрат, это были
стены домика, а потом мы рисовали крышу над нашими стенами. Вспомнили?
После того, как вы нарисуете этот домик , уберите линию между стенами и крышей. Вот мы и получили пятиугольник.
Но чтобы соблюсти условия нашего задания, мы должны чертить так:
два нижних угла нашего домика должны быть равны по 90 градусов - это 2 прямых угла. Самый верхний угол крыши, где встречаются две наклонные линии должен быть меньше 90 градусов - это один острый угол. А там, где крыша встречается со стеной, сам собой получится  тупой угол. А так как это происходит с двух сторон, то получится 2 тупых угла. Вот и всё.
А для того, чтобы всё получилось красиво, ровно и правильно, необходимо пользоваться линейкой с прямым углом.
4,8(10 оценок)
Новые ответы от MOGZ: Математика
logo
Вход Регистрация
Что ты хочешь узнать?
Спроси Mozg
Открыть лучший ответ