





1.А) Уравнением называется равенство, содержащее одно или несколько неизвестных, значение которых необходимо найти.
2. верный ответ Значение переменной, при котором уравнение обращается в верное равенство.
среди предложенных не нашел.
3. линейным называют уравнение, в котором переменная /или переменные/ входят в первой степени, не равны нулю. можем еще так сказать
это уравнение вида ах+b=c
ax+by=c , где a, b, c - некоторые числа, х и у -переменные. причем а≠0, если речь об уравнении с двумя переменными, то а≠0;b≠0.
4. квадратное - это уравнение вида ах²+bx+c=0, где а,b,с - некоторые числа, причем а≠0, х и у-переменные.
5. Неравенство вида ах+b<0 (ах+b≤0, ах+b>0, ах+b≥0).где а≠0.
6. А) Уравнение имеет два равных действительных корня. но при условии, что решаем уравнение в области действительных чисел. иначе ответ Е.
7. А) Уравнение имеет два различных действительных корня. если речь о решении кв. уравнения в области действительных чисел.
иначе ответ Е.
8. А) Уравнение не имеет действительных корней.
9.D=b²-4ас
10. А) Уравнения, имеющие одно и то же множество решений
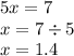
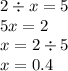
11. 7х-8=2х-3⇒А)х=1
12. 3-4х=5+8х⇒12х=-2, х=-1/6, верного ответа нет.
13. 7-х=-4+10х; х=1
14. 4х-4=6+3х⇒А)х=10
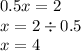
15. А) -0.5
16. 7-3х-3=х-1⇒А)1.25
17. -15+3х=2х-19⇒А)-4
18. 3-2х<5-3х⇒А) x<2
19. 5х+6>3х-2⇒А) x>-4
20. 3х-5≥23-4х⇒А) x≥4
21. По Виету А) 4;-2
22. 3х²-2х-1=0−1
здесь два ответа . ноль и 2/3
23. у=х+1 целая прямая ответов. подходят А, С,
24.- нет системы
25.аналогично.
26. аналогично
27 нет
28. 10х²-х+1=0 А) Не имеет действительных корней
29 нет уравнения
30нет неравенства. но больше половины, как требуют правила, я решил вам.
bb