М
Молодежь
К
Компьютеры-и-электроника
Д
Дом-и-сад
С
Стиль-и-уход-за-собой
П
Праздники-и-традиции
Т
Транспорт
П
Путешествия
С
Семейная-жизнь
Ф
Философия-и-религия
Б
Без категории
М
Мир-работы
Х
Хобби-и-рукоделие
И
Искусство-и-развлечения
В
Взаимоотношения
З
Здоровье
К
Кулинария-и-гостеприимство
Ф
Финансы-и-бизнес
П
Питомцы-и-животные
О
Образование
О
Образование-и-коммуникации
ayazhan10yearsold
ayazhan10yearsold
30.11.2021 13:22 •  Математика

Розвяжіть систему рівннянь:
2x+y=7
x^2-xy=6

👇
Ответ:
Sergey2003456
Sergey2003456
30.11.2021

\{ (-\frac{2}{3} ;8\frac{1}{3}), (3;1)\}

Пошаговое объяснение:

\left \{ {{2x+y=7} \atop {x^2-xy=6}} \right.

из первого уравнения выражаем y:

y=7-2x\\

подставлеям во второе уравнение:

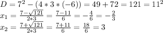
x^2-x(7-2x)=6\\x^2-7x+2x^2=6\\3x^2-7x-6=0

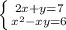
Решаем квадратное уравнение через дискременант:

D=7^2-(4*3*(-6))=49+72=121=11^2\\x_{1} = \frac{7-\sqrt{121}}{2*3} =\frac{7-11}{6} =-\frac{4}{6} =-\frac{2}{3} \\x_{2} = \frac{7+\sqrt{121}}{2*3} =\frac{7+11}{6} =\frac{18}{6} =3 \\\\

Находим y соответствующие полученным x:

y_{1} =7-2x_{1}=7-2*(-\frac{2}{3}) =7+\frac{4}{3} =8\frac{1}{3} \\y_{2} =7-2x_{2}=7-2*(3) =7-6 =1 \\

Получаем ответ:

\{ (-\frac{2}{3} ;8\frac{1}{3}), (3;1)\}

4,5(98 оценок)
Открыть все ответы
Ответ:
zahcar629
zahcar629
30.11.2021

1.а) 43•42-41²=125

43*42=1806

41*41=1681

1806-1681=125

б) (12+18²):12=28

18*18=324

12+324=336

336/12=28

2.1) 12*4 = 48(м) — другая сторона;

2) (12 + 48) * 2 = 120 (м) — периметр;

3) 12 * 48 = 576 (м2) — площадь.

3.1 м² = 100 см * 100 см = 10 000 см²

1 дм² = 10см *10 см = 100 см²  

1 см² = 10 мм * 10 мм = 100 мм²

15 дм² = 15 * 100 см² = 1500 см²

2,4 м² = 2,4 * 10 000 см² = 24 000 см²

14 000 мм² = 14 000 : 100 см² = 140 см²

4.32 га = 320000 м в квадрате

320000:640 = 500 м (т.к. формула площади прямоугольника S=ab)

5.Ширина прямоугольника       Длина прямоугольника       Площадь прямоугольника  

         25  см                                         30 см                                    ?

         25  см                                         35 см                                    ?  Как изменится?

1) 25*30 = 750 кв см площадь данного прямоугольника

2) 25*35 = 875 кв см  площадь нового прямоугольника

3) 875 - 750 = 125 кв см -увеличение

Думаю так.

4,5(57 оценок)
Ответ:
andrew211
andrew211
30.11.2021
Посмотрим, какие числа будут записаны по порядку:

Сначала будут однозначные числа от 1 до 9
  всего этих числ девять, это можно сосчитать так: (9-1) +1 = 9
  всего цифр в этих числах будет девять, т.к.  9 * 1 = 9 (девять чисел по одной цифре)

Затем двузначные числа от 10 до 99
  всего этих числ будет  (99-10) +1 = 90
  всего цифр в этих числах будет  90 * 2 = 180

Далее у нас пойдут трёхзначные числа от 100 до 300
Так как были оторваны 299 цифр, то первая оставшаяся цифра будет трёхсотой. Посчитаем, на какое трёхзначное число выпадает трёхсотая цифра:
Всего, однозначные и двузначные числа дадут 180 + 9 = 189 цифр
Значит, осталось набрать 300 - 189 = 111 цифр
И, это будет ровно  111 / 3 = 37 трёхзначных чисел

То есть, наша искомая трёхсотая цифра будет последней в тридцать седьмом трёхзначном числе.
Посчитав общее количество чисел, можно узнать, что это за число:
9 + 90 + 37 = 136
Последняя цифра в этом числе- это шесть, это и есть наша искомая цифра.
4,4(94 оценок)
Это интересно:
Новые ответы от MOGZ: Математика
logo
Вход Регистрация
Что ты хочешь узнать?
Спроси Mozg
Открыть лучший ответ