М
Молодежь
К
Компьютеры-и-электроника
Д
Дом-и-сад
С
Стиль-и-уход-за-собой
П
Праздники-и-традиции
Т
Транспорт
П
Путешествия
С
Семейная-жизнь
Ф
Философия-и-религия
Б
Без категории
М
Мир-работы
Х
Хобби-и-рукоделие
И
Искусство-и-развлечения
В
Взаимоотношения
З
Здоровье
К
Кулинария-и-гостеприимство
Ф
Финансы-и-бизнес
П
Питомцы-и-животные
О
Образование
О
Образование-и-коммуникации
полина90602
полина90602
17.10.2021 07:40 •  Математика

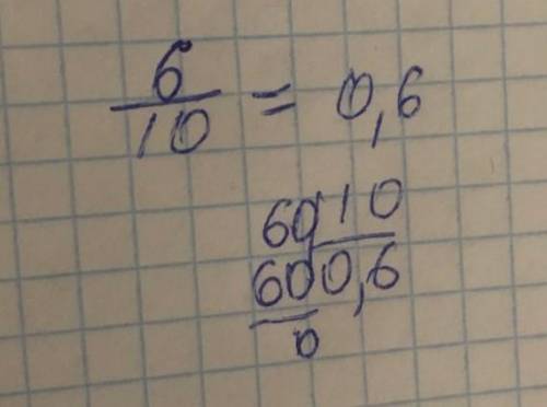
Вычислить С 6 сверху а 10 снизу ;

👇
Ответ:
светлана498
светлана498
17.10.2021

ответ на фото всегда


Вычислить С 6 сверху а 10 снизу ;
4,8(22 оценок)
Открыть все ответы
Ответ:
mmwo
mmwo
17.10.2021

1) 4x + 8 = 2x - 1 = 4x + 8 - 2x + 1 = 2x + 9, 2x = -9, x = -4,5.

2) 12 + y = -13 - 4y = 12 + y + 13 + 4y = 25 + 5y, 5y = -25, y = -5.

3) 8 + 3b = -7 - 2b = 8 + 3b + 7 + 2b = 10 + 5b, 5b = -10, b = -2.

4) -1,6 - 0,3p = 0,9p + 0,2 = -1,6 - 0,3p - 0,9p - 0,2, 1,2p = -1,8, p = -1,5.

5) 11/12x - 2/3 = -0,5 - 3/4x = 11/12x - 2/3 + 0,5 + 3/4x, 20/12x - 1/6, 20/12x = -1,6, x = -1/10.

6) 2a - (14 - 3a) = -10, 2a - 14 + 3a + 10, 5a = -4, a = -0,8.

7) 18 - 4y = 7(2 - y) + 6 = 18 - 4y = 14 - 7y + 6, 18 - 4y - 14 + 7y - 6, -2 = 3y, y = -2/3.

8) 3(-2z + 5) = 14 - 2(4z - 3) = -6z + 15 - 14 + 8z + 6, 2z = 7, z = 3,5.

9) 1,2d - 0,5(4d - 1) = -0,7(d - 2) = 1,2d - 2d + 0,5 + 0,7d - 1,4, -0,1d = -0,9, d = 9.

Пошаговое объяснение:

4,7(27 оценок)
Ответ:
ldlopirdlidnsp01mup
ldlopirdlidnsp01mup
17.10.2021

3(

1) 4х+8=2х-1

2х=-9

х=-4,5

проверка:

-18+8=-9-1

2)12+у=-13-4у

25=-5у

у=-5

проверка:

12-5=-13+20

7=7

3) 8+3б=-7-2б

15=-5б

б=-3

проверка:

8--9=-7+6

-1=-1

4)-1,6-0,3р=0,9р+0,2

-1,8=0,6р

р=-3

проверка:

-1,6-0,9=- 2,7+0,2

-2,5=-2,5

6) 2а-(14-3а)=-10

2а-14+3а=-10  

5а=4

а=0,8

проверка:

1,6-14+2,4=-10

-10=-10

7) 18-4у=7(2-у)+6

18-4у=14-7у+6

18-14-6=-7у+4у

-2=-3у

у=2/3

проверка:

18-4*2/3=14-7*2/3+6

18-8/3=14-14/3+6

54/3-8/3=42/3-14/3+18/3

46/3=46/3

46=46

3(-2z+5) = 14 -2(4z-3)

-6z+15=14-8z+6  

8z-6z=14-15+6

2z=5

проверка:

-15+15=14-20+6

0=0

1,2d — 0,5(4d — 1) = – 0,7(d -2)

1,2d-0.5*4d+0.5=-0.7*d+1.4

1.2d-2d+0.5=-0.7d+1.4

0.1d=0.9

d=9

проверка

1,2*9-0,5*36+0,5=-0,7*9+1,4

10,8-18+0,5=6,3+1,4

7,7=7,7

Пошаговое объяснение:

4,4(61 оценок)
Это интересно:
Новые ответы от MOGZ: Математика
logo
Вход Регистрация
Что ты хочешь узнать?
Спроси Mozg
Открыть лучший ответ