М
Молодежь
К
Компьютеры-и-электроника
Д
Дом-и-сад
С
Стиль-и-уход-за-собой
П
Праздники-и-традиции
Т
Транспорт
П
Путешествия
С
Семейная-жизнь
Ф
Философия-и-религия
Б
Без категории
М
Мир-работы
Х
Хобби-и-рукоделие
И
Искусство-и-развлечения
В
Взаимоотношения
З
Здоровье
К
Кулинария-и-гостеприимство
Ф
Финансы-и-бизнес
П
Питомцы-и-животные
О
Образование
О
Образование-и-коммуникации
181101s
181101s
08.12.2022 07:36 •  Математика

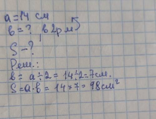
Длина прямоугольника 14 см, а ширина в 2 раза меньше. Найди площадь прямоугольника? ответ запиши числом. *​

👇
Ответ:
larryisreallmao
larryisreallmao
08.12.2022

Пошаговое объяснение:

What's fakeioughjgghh

4,7(27 оценок)
Ответ:
PISOS228XYI
PISOS228XYI
08.12.2022

98 см^2


Длина прямоугольника 14 см, а ширина в 2 раза меньше. Найди площадь прямоугольника? ответ запиши чис
4,4(76 оценок)
Открыть все ответы
Ответ:
vladdancer
vladdancer
08.12.2022
Самое главное при знакомстве-это ввежливо поздороваться и не стесняясь представиться.что касается непрерывной беседы с человеком, нужно вежливо и внятно разговаривать. Также не нужно врать, если это даже выгодно. Если предерживаться данных норм этикета разговорной речи, то скорее всего, что человек не захочет прерывать разговор первым, ведь он будет очень интересным, если говорить правильно. Если человек в гостях или же ином помещении, то он должен не только придерживаться разговорного этикета, а ещё и быть ввежливым и оккуратным со стороны.

Это всё. сразу говорю, писал сам, так что не судите строго, а ещё, если можно, добавьте меня в лучший ответ.
4,8(42 оценок)
Ответ:
jimmy223
jimmy223
08.12.2022

Помещений для уборки достаточное колл-во. Но есть и помещения, современные, в которых нужна тщательная и эффективная на лицо результат уборка.

К ним относятся помещения такого типа как: Офисы бизнеса, торговая площадь, универсальное помещение, образовательные, медицинские, производственные и коммунально-бытовые.  Уборка в них нужна ежедневная и частичная. Все потому что, скопления людей приводят к огромному колл-ву грязи и пыли. Также помещения в обязательном порядке нужно проветривать, желательно каждые 20-30 минут, чтобы работники или учащиеся не дышали пылью и грязью, а также потом, который скопился в воздухе помещения.

Вывод:  Без уборки, помещения загрязнятся и работать человек нормально не сможет. Также без уборки, вся грязь и пыль может нанести вред организму человека.  Поэтому убирать помещения, нужно в обязательном порядке. Каждый день и частично.

4,5(87 оценок)
Новые ответы от MOGZ: Математика
logo
Вход Регистрация
Что ты хочешь узнать?
Спроси Mozg
Открыть лучший ответ